所屬科目:研究所、轉學考(插大)-微積分
1. (15%) The limit limx→∞(- x) exists for all aₖ ∈ R.
2. (15%) (sin 2x) = sin (2x) ∀x ∈ R.
3. (20%) The series converge for every α > 1, β ≥ 1 and p ≥ 1.
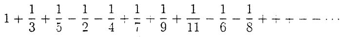
III. The following series is a rearrangement of the alternating harmonic series in which there appear alternately three positive terms followed by two negative terms 6. (15%) Show that this series converges and has sum ln .
7. (15%) gₙ(x) converges uniformly in [0,].