所屬科目:公職◆渠道水力學
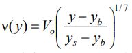
一、圖 1 為一明渠流之流況及座標系統示意圖,若垂向速度分佈 v(y)可用 計算,當 d=5m,θ=30°時,且測得表面流速vo = 2.5m,則此渠道之單寬流量、底床壓 力、底床以上之總能量頭 (Total energy head)、能量及動量因子 (energy and momentum coefficient) 各為若干?(20 分)