所屬科目:研究所、轉學考(插大)-微積分
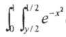
(a) dxdy
(b)dydx
(c)dzdydx
(a) dA, where R is the triangle bounded by y = x, y = 2x, x = 2.
(b)dA, where R is the region bounded by x2+y2≥ 1, x2+y2≤4, and 0≤ y≤x.
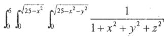
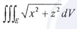
(c) , where E is the region bounded by the paraboloid y=x2+z2and the plane y=4.
3. Find the area of the region common to the two regions bounded by r=2+cosθ and r=-3cosθ. (10%)
4. Find the extreme values of f(x,y) = x4 + y4 - 4xy + 1 subject to the constraint x2+y2≤2. (15%)