所屬科目:研究所、轉學考(插大)-微積分
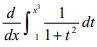
1. Let x > 0. =_________
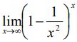
2. =_________
3. Find the slope of the line tangent to the graph y2 + x2 y = 3x2 at the point (2,2) :_________
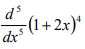
4. Find =_________
5. Find the point on the graph of y = that is nearest the point (1,0):_________
6. Find the interval on which the function f(x) = x3 - 3x2 - 9x + 12 is decreasing:_________
7. =_________
8.=_________
9.=_________
10. Find the area of the region bounded by the graph of f(x) = 2 + x - x2 and the x-axis:_________ .
11. Find the value of the integral =_________
12. Find +ydA where Q={ (x, y) : -1 ≤ x ≤ 2, 1≤ y ≤3 } : _________.
13. Let f(x, y) = , x = 1 + t2 and y = 1 - t• =_________
14. Let f(x, y) = cos(x2 + y), x = and y = st =_________
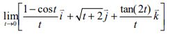
15. Find :_________.
16. Let f(x, y, z) = x + 2xy - 3z2. Find the direction vector along which the directional derivative at the point (1, 0, 4) reaches its maximum. =_________
(a) Plot the domain of integration of (*).
(b) Evaluate (*).
2. (a) Prove that for r ∈ R.
(b) Evaluate