阿摩線上測驗
登入
首頁
>
研究所、轉學考(插大)-微積分
>
94年 - 94 中原大學轉學生招生考試_理工、化學群組二年級:微積分#124618
> 申論題
題組內容
二、計算證明題
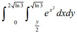
1. Consider
........(*)
(a) Plot the domain of integration of (*).
相關申論題
1. Let x > 0. =_________
#530106
2. =_________
#530107
3. Find the slope of the line tangent to the graph y2 + x2 y = 3x2 at the point (2,2) :_________
#530108
4. Find =_________
#530109
5. Find the point on the graph of y = that is nearest the point (1,0):_________
#530110
6. Find the interval on which the function f(x) = x3 - 3x2 - 9x + 12 is decreasing:_________
#530111
7. =_________
#530112
8.=_________
#530113
9.=_________
#530114
10. Find the area of the region bounded by the graph of f(x) = 2 + x - x2 and the x-axis:_________ .
#530115
相關試卷
114年 - 114 臺灣綜合大學系統_學士班轉學生考試試題:微積分A#137897
114年 · #137897
114年 - 114 臺灣綜合大學系統_學士班轉學生考試試題:微積分B#137819
114年 · #137819
114年 - 114 台灣聯合大學系統_學士班轉學生考試試題:微積分#137762
114年 · #137762
114年 - 114 台灣聯合大學系統_學士班轉學生考試試題:微積分#137761
114年 · #137761
114年 - 114 國立臺灣大學_轉學生招生考試_物理學系/土木工程學系/生物環境系統工程學系/生物機電工程學系:微積分(B)#137745
114年 · #137745
114年 - 114 國立臺灣大學_轉學生招生考試_數學系:微積分(A)#137744
114年 · #137744
113年 - 113 國立嘉義大學_轉學生招生考試試題_(全校):微積分#122986
113年 · #122986
112年 - 112 國立臺灣大學_碩士班招生考試題:微積分(D)#130254
112年 · #130254
112年 - 112 國立陽明交通大學_碩士班入學招生試題_統計學研究所﹕微積分與線性代數#130252
112年 · #130252
112年 - 112 國立嘉義大學_轉學生招生考試試題:微積分#123297
112年 · #123297