阿摩線上測驗
登入
首頁
>
航行學
> 94年 - 94 公務升官等考試_薦任_航空駕駛:基本航行學#41020
94年 - 94 公務升官等考試_薦任_航空駕駛:基本航行學#41020
科目:
航行學 |
年份:
94年 |
選擇題數:
0 |
申論題數:
5
試卷資訊
所屬科目:
航行學
選擇題 (0)
申論題 (5)
一、廣義而論,「航行」所包含之範圍為何?一次成功的「航行」,須注意哪些事情 (航行前、航行中、航行後)?(20 分)
二、「航行」的方法有很多種,請就你最熟悉的方法列舉出三種,並分別說明其原理, 包括使用年代。(20 分)
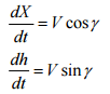
【已刪除】三、假設忽略地球自轉與地表曲率的影響,有一飛行器在某一垂直面內飛行,令 X 為水平 ρ ρ ρ 軸(向右為正)、 h 為垂直軸(向上為正)、
為速度向量、
為升力向量、
為阻力 向量、
為推力向量、
為重量向量、 γ 為飛行路徑角(flight path angle,即 X 軸與
向量之夾角)、 δ 為推力角(thrust angle,即
向量與
向量之夾角)、 m 為飛行器質 量、 t 為時間、 g 為地球之重力加速度、 c 為燃油消耗比(specific fuel consumption)。 請證明上述飛行狀態之運動方程式(kinetic equations of motion)為:(10 分) d
另證明其動力方程式(dynamic equations of motion)為:(20 分)
再證明其質量變化方程式為:(5 分)
四、上述第三題中,當飛行狀態為等高度之飛行時,其運動與動力方程式為何?(10 分)
五、以今日的科技,航行儀器系統(navigation instrument system,亦稱導航儀器系統) 已經發展到非常先進。請問你覺得還有哪些缺點?你有哪些改進構想?(15 分)
相關試卷
114年 - 114 高等考試_三級_航空駕駛(選試直昇機飛行原理):航行學#128761
114年 · #128761
113年 - 113 高等考試_三級_航空駕駛(選試直昇機飛行原理):航行學#121239
113年 · #121239
112年 - 112 高等考試_三級_航空駕駛(選試直昇機飛行原理):航行學#115458
112年 · #115458
111年 - 111 高等考試_三級_航空駕駛(選試直昇機飛行原理):航行學#109222
111年 · #109222
110年 - 110 高等考試_三級_航空駕駛(選試直昇機飛行原理):航行學#102414
110年 · #102414
109年 - 109 高等考試_三級_航空駕駛(選試直昇機飛行原理):航行學#88906
109年 · #88906
108年 - 108 高等考試_三級_航空駕駛(選試直昇機飛行原理):航行學#77845
108年 · #77845
107年 - 107 高等考試_三級_航空駕駛(選試直昇機飛行原理):航行學#70792
107年 · #70792
106年 - 106 高等考試_三級_航空駕駛(選試直昇機飛行原理):航行學#63434
106年 · #63434
105年 - 105 高等考試_三級_航空駕駛(選試直昇機飛行原理):航行學#54084
105年 · #54084