所屬科目:國中會考基測◆數學科
1.經計算之後,可得下列哪一個結果? (A)(B)(C)(D)4
3.下列那一個圖形是線對稱圖形? (A) (B) (C)(D)
5.如圖(一),薇薇將班上同學的上學方式分别畫成一圓形圖及長條圖。請問,長條 圖中的a、b、c、d哪一個所指的是搭公車?(A)a (B)b (C)c (D)d
7.x=一2可以是下列哪一個不等式的解? (A)- x>1 (B)-2x<1 (C)x-2>0 (D)4x+6<0
8.下列哪一個選項為二元一次方程式y=2x-4的圖形? (A) (B) (C)(D)
9.如圖(二),玉山在坐標平面上的位置為(121,23.5); 已知x軸的正向指向東方,y軸的正向指向北方, 且每個方格的長寬均為一個單位長。若P點位置為 (120,23),則P點最接近下列哪一個地方?
(A)苗栗 (B)花蓮 (C)台南 (D)屏東
10.2x2-7x+6=0的兩根分別為α、β,其中a>β,則α-2β=?(A)-1 (B) 1 (C) 4 (D)5
11.圖(三)是某捐血中心歷年檢驗不合格總数比率分析圖。 依此圖判斷下列敘述何者錯誤?依此圖判斷下列敘述何者錯誤? (A)1977年的捐血人數比1985年少 (B)1977年捐血不合格率比1985年低 (C)1979年的捐血人數比2001年多 (D)1979年捐血不合格率比2001年高
12.如圖(四)直線L與垂直,垂足為A,=10。 現以O為圓心,r為半徑作一圓,請問當r為下列哪一個 值時,可使L與此圓只交於一點?(A)5 (B)8 (C)10 (D)13
15.如圖(五),有一飯店的宴會廳是一個長比寛多2公尺的 矩形。今在宴會廳中間鋪了一張長方形地毯,使得四 周剩下的空地均為1公尺寬。已知未鋪地毯的面積是鋪地毯面積的 ,設宴會廳的長是x公尺,則下列哪一個式子可用來表示题目中的數量關係? (A)x(x-2)-(x-1)(x-3)= (x-1)(x-3) (B)x(x+2)-x(x-2)= (x-2) (C)x(x-2)-(x-2)(x-4)=(x-2)(x-4) (D)x(x-2)-(x-1)(x-4)= (x-1)(x-4)
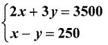
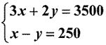
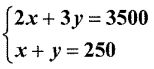
16.彥宇與家人到遊樂園玩,買了2張全票及3張優待票,共付了3500元。已知全票每張比優待票250元,假設全票每張X元,優待票每張y元,依題意可列 出下列哪一個x與y的二元一次聯立方程式?(A) (B) (C) (D)
18.某工廠連續七天、每天生產1000件玩具, 該工廠品管部會對當天所生產的玩具做不良品測試,圖(六)為七天內所測試的結果。 試問依此測試結果預估此工廠生產不良玩具 的機率最接近下列何者?
(A)0.3% (B)0.8% (C)1.3% (D)1.8%
19.身體質量指數(BMI)是一種判斷理想體重的 參考公式,它的算法及評估程度如圖(七)。 若甲生的身高為1.8米,體重80公斤。請 問下列哪一個還項可以描甲生的身體狀況?
(A)稍瘦 (B)標準 (C)稍胖 (D)過胖
21.已知一個三角形中若有兩內角不相等,則大角對大邊。根據圖(八)中所給的數據,判斷角錐中的、、 哪一個線段最長?(A)(B)(C)(D)
22.小格想要煮一鍋30人份的玉米湯,他依據圖(九)的食譜內容到市場選購材料。請問下列哪一種材料的數量買得太少?
(A)玉米醬(100g/罐)11罐 (B)雞蛋8個 (C)絞肉45兩 (D)奶油75克
23.如圖(十),有一質地均勻的三角形鐵片,其中一中線 長24公分。若阿龍想用食指撐住此片,如圖(十一),則 支撑點應設在上的何處最恰當?
(A)距離D點6公分處 (B)距離D點8公分處 (C)距離D點12公分處 (D)距離D點16公分處
24.如圖(十二),已知直線CD為的中垂線 且交於D, 則下列哪一個敘述是錯誤的?(A)以C為圓心,為半徑畫圓,則圓必過A點 (B)以A為圓心,為半徑畫圓,則圓必過C點 (C)以B為圓心,為半經畫圓,則圓必過C點 (D)以D為圓心,為半徑畫图,則圓必過B點
25.阿俊拼装完成了直角柱形的燈架,如圖(十三)所示。他共用了9支 鋼管,其中30公分長的有4支,40公分長的有3支50公分長的有2支。請問此燈架的三角形底面三邊長分別為多少?(A)30公分、30公分、50公分 (B)30公分、30公分、40公分 (C)30公分、40公分、50公分 (D)40 公分、40公分、50公分
27.一群海盜在無名上藏了三批珠寶,先在島上A地藏第一批珠寶,然後向東走 x公里,再向北走5公里到B地藏第二批珠賽,再循原路回到A地後,向西走6 公里,再向南走10公里到C地藏第三批珠寶,如果A、B、C三地恰好在一 條直線上,則x=?(A)3 (B)6 (C) (D)12
28.小芳以自己的位置為一固定點找出與他等距的甲、乙、丙三點,並測量此三點間 的距離,紀錄如表(一)。表中有部分為水漬所弄髒,使得丙到甲的距離無法辦識。 若弄髒的數字設為x,依此情境可列出下列哪一個關係式?
(A) 1.5+7.5=2x (B)(1.5):x=x:(7.5) (C) 1.5 < x < 7.5-1.5 (D)7.5-1.5 < x < 7.5+1.5
29.下列四個折線分別紀錄了兩城市在不同年代之市民年龄分布。根據圖中所提供的資訊,判斷哪一個選項中甲市市民年齡的算術平均數比乙市的高? (A)(B)(C)(D)