所屬科目:國營事業◆1.熱力學與熱機學 2.流體力學與流體機械
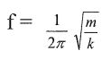
9.當機械構件之質量為m,彈簧數為k,若阻尼係數為零,則其震動頻率, 此稱為 自由頻率。(A)O(B)X
5.右圖為軟鋼試驗棒之拉伸試驗應力-應變圖,下列敘述何者正確? (A)A點為比例限界,B點為降伏強度(應力) (B)C點為降伏強度,E點為極限強度(應力) (C)C點至D點發生頸縮現象 (D)B點至C點發生應變硬化現象
8.如右圖所示之矩形斷面對形心軸x-X之面積慣性矩為: (A)(B) (C) (D)
9.直徑吋之轉軸,其轉速為每分鐘150轉,如果傳送馬力為15hp,則此轉軸之扭矩T為: (A) 4200 in-lb (B) 5400 in-1b (C) 6300 in-lb (D) 8400 in-lb
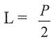
10.某雙線螺紋之導程為L,螺距為P,則L與P的關係為:(A) L=2P (B) L=P (C) (D)
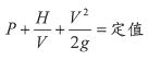
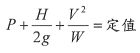
4.設流體的速度為V,位置水頭為H,壓力為P,每單位體積的重量為W,重力加速度為g: 若各以適當的單位表示時,則伯努利方程式(Bernoulli equation為: (A) (B) (C) (D)
三、計算題:30%(每題3分,共3分) 1如圖1所示,圓柱體半徑r=400mm,重=1000N, 與地面之靜摩擦係數μs=0.3,滾動阻力係數 δ=2.5mm,若水平力P施力方向正對圓柱體之圓 心,請分別求出使圓柱滚動及滑動所需之水平力P 的大小?及二者間之比值為多少?
2.如圖2所示,力P=300N加於曲桿AD,求A點支撐力Ax及Ay與D點支撐力ND各為多少?
3.如圖3一直徑1.5吋的鋼材轉軸,其轉速為525rpm,以 軸承支撐,故其本身之彎矩可以忽略,左側轉輪承受 50hp輸入馬力,其中間轉輪輸出馬力為30hp,右邊轉輪輸出馬力為20hp,假設其彈性剪力模數 G=12x106psi,請計算其軸承之最大剪力τ,及其總扭轉角度Φ。
4.如圖4懸壁樑AB,其B端承受50kN的力及90kN。m的力矩,如其EI=10x106N●m2,則B點之斜度θ (slope)及撓度δ(deflection)各為多少?
5.如圖5一正方形木箱静置於水平之地面上,若木箱之重 量為1000N,μs=0.5,且作用力P緩慢地增大,則使木箱即將開始滑動的最小作用力P的大小為多少N?
6.如圖6荷重A質量為16kg,荷重B質量為24kg,若滑 輪與軸承無任何摩擦阻力,且滑輪及繩索的重量忽略不 計,則繩索的張力為多少?
7.如圖7為三個齒輪之齒輪組,其各自之齒數如圖所示, 如果齒輪4固定不動,而連接桿A順時針迴轉10轉, 則齒輪2迴轉幾轉,轉方向為何?
8.如圖8所示,一單塊制動器,其摩擦數為0.3,則其 所能制動之轉矩為多少?
9.如圖9所示,如果A點以45m/s的速度向右移動,則滑塊B之移動速度為多少?移動方向為何?
10.如圖10不考慮各桿件質量,且各接點無任何摩擦阻 力,於C點施以200N之力,此時A點之作用力大小 為何?