所屬科目:研究所、轉學考(插大)-微積分
1. Show that tan-1+ tan-1 x = C, where C is a constant. And fnd the value of C. (Note: tan-1 x = arc tan x) (10%)
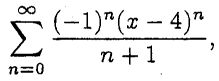
2. Find the convergence set for the power seriesand also find its sum. (10%)
3. Find the average value of f(x) = tan-1on the interval [0,2]. (10%)
7. The function f(x,y) = 6x2 -8x + 2y2 - 5 is continuous on the closed region R defined by x2 + y2 ≤1. Find its absolute extrema over R. (10%)
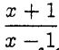
(a) find equations of the tangent lines to the graph at the points corresponding to x = ; (5%)
(b) also find for the equation in (a) for those points corresponding to x = . (5%)
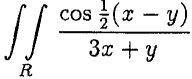
9. Compute dA, where R is the region bounded by the R graphs of y= x, y= x -π, y = -3x + 3, and y = -3x + 6. (10%)