題組內容
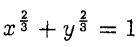
8. The graph of
, is called a hypocycloid,
(a) find equations of the tangent lines to the graph at the points corresponding to x =
; (5%)
8. The graph of
, is called a hypocycloid,
(a) find equations of the tangent lines to the graph at the points corresponding to x =
; (5%)