所屬科目:研究所、轉學考(插大)-微積分
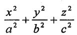
(1) Compute the volume of the solid enclosed by the ellipsoid= 1, where a, b, c are positive constants. (15%)
(2) Let f(x) and g(x) be two continuous real-valued functions on [a,b]. Show that |(f(x)g(x))dx|2 ≤ ((|f(x)|2dx))((|g(x)|2dx). (15%)
(3) Evaluate the improper integral dx if exists. (10%)
(a) if exists
(b)dt if exists
(c) if exists