所屬科目:研究所、轉學考(插大)-微積分
1.設f(x)=,若直線L曲線y=f(x)過(c,f(c))的切線且通過 (8,5),則c=______
2.設h(x)=.則導數h'(1)=________
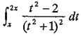
3. =________
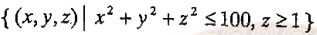
4.設D=,則D的體積為________
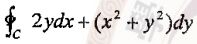
6.設C:x2+(y-3)2=16依逆時針旋轉,則=______
7.設f(x)=x2ln(1+2x),則第9階導數=________
8.設S:x2+y2+z2=9.則向量場流出的S的通量(Flux)為________
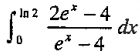
9.=________
(2)試求之值.