阿摩線上測驗
登入
首頁
>
研究所、轉學考(插大)-微積分
>
96年 - 96 國立臺灣大學轉學生招生考試試題:微積分(B)#110860
> 申論題
題組內容
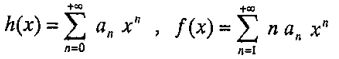
1、設冪級數(power series)
的收斂半徑為δ,且
,其中|x|<δ
(1)試求 f(x),h(x)之間的關係
相關申論題
3. =________
#474880
4.設D=,則D的體積為________
#474881
5.設K為抛物線y=x2與直線y=2所圍成的區域,若直線y=c將此區域分割成面積相等的兩部分,則c=_______
#474882
6.設C:x2+(y-3)2=16依逆時針旋轉,則=______
#474883
7.設f(x)=x2ln(1+2x),則第9階導數=________
#474884
8.設S:x2+y2+z2=9.則向量場流出的S的通量(Flux)為________
#474885
9.=________
#474886
(2)試求之值.
#474888
2.設曲面S:x2+y2+z2=10上點(x,y,z)的溫度為T(x,y,z)=2xy+4yz,試問最高溫度與最低溫度為何?發生在何處?
#474889
1.設f(x)=,若直線L曲線y=f(x)過(c,f(c))的切線且通過 (8,5),則c=______
#474878
相關試卷
114年 - 114 臺灣綜合大學系統_學士班轉學生考試試題:微積分A#137897
114年 · #137897
114年 - 114 臺灣綜合大學系統_學士班轉學生考試試題:微積分B#137819
114年 · #137819
114年 - 114 台灣聯合大學系統_學士班轉學生考試試題:微積分#137762
114年 · #137762
114年 - 114 台灣聯合大學系統_學士班轉學生考試試題:微積分#137761
114年 · #137761
114年 - 114 國立臺灣大學_轉學生招生考試_物理學系/土木工程學系/生物環境系統工程學系/生物機電工程學系:微積分(B)#137745
114年 · #137745
114年 - 114 國立臺灣大學_轉學生招生考試_數學系:微積分(A)#137744
114年 · #137744
113年 - 113 國立嘉義大學_轉學生招生考試試題_(全校):微積分#122986
113年 · #122986
112年 - 112 國立臺灣大學_碩士班招生考試題:微積分(D)#130254
112年 · #130254
112年 - 112 國立陽明交通大學_碩士班入學招生試題_統計學研究所﹕微積分與線性代數#130252
112年 · #130252
112年 - 112 國立嘉義大學_轉學生招生考試試題:微積分#123297
112年 · #123297