所屬科目:研究所、轉學考(插大)-微積分
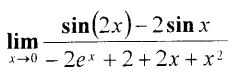
(a) (15 分)
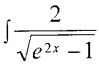
(b) (15 分)
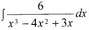
(b)dx (15 分)
3. Find the maximum and minimum values of the function shown below and the corresponding values of x on the given interval., x in [-1,1] (20 分)
4. Find the sum of the following series: (10 分)