阿摩線上測驗
登入
首頁
>
光電工程導論
> 96年 - 96 專利商標審查特種考試_三等_光電工程:光電工程導論#50537
96年 - 96 專利商標審查特種考試_三等_光電工程:光電工程導論#50537
科目:
光電工程導論 |
年份:
96年 |
選擇題數:
0 |
申論題數:
14
試卷資訊
所屬科目:
光電工程導論
選擇題 (0)
申論題 (14)
⑴θ
t
,(5 分)
【已刪除】⑵光線出薄片時的位移
,(5 分)
⑶出薄片時光線對入 射光線的側面位移
。(10 分)
⑴汞燈的光譜在綠光的部分,中央波長為 546.1nm,頻寬為∆υ = 6×10
8
Hz,
⑵氦 氖雷射的中央波長為 632.8nm,頻寬為 ∆υ = 10
6
Hz,試問⑴及⑵的相干長度 l
C
各為 多少?(14 分)
【已刪除】⑴
【已刪除】⑵
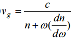
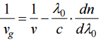
其中
是群速度,
是相速度,λ
0
是真空中光之波長。
⑴抗反射薄膜材料的折射 率,
⑵若在 514.5nm 波長入射時,反射率為 0%,薄膜的厚度為何?(20 分)
⑴光纖之接受角α ,
⑵全反射發生時之臨界角θ
c
,
⑶包覆層之折 射率,
,⑷波長λ
0
= 0.85 µm 之光線入射時,光纖所能承載最多模態的數目。(20 分)
六、若一線性極化光之極化方向與水平軸夾角為 45°角,經過一快軸在水平方向的四分 之一波長板,試問穿透光之極化方向為何?請利用瓊斯矩陣及瓊斯向量計算結果。 (10 分)
相關試卷
99年 - 99 專利商標審查特種考試_三等_光電工程:光電工程導論#47008
99年 · #47008
97年 - 97 高等考試_二級_光電工程:光電工程導論#48713
97年 · #48713
96年 - 96 高等考試_二級_光電工程:光電工程導論#50854
96年 · #50854