阿摩線上測驗
登入
首頁
>
光電工程導論
> 97年 - 97 高等考試_二級_光電工程:光電工程導論#48713
97年 - 97 高等考試_二級_光電工程:光電工程導論#48713
科目:
光電工程導論 |
年份:
97年 |
選擇題數:
0 |
申論題數:
6
試卷資訊
所屬科目:
光電工程導論
選擇題 (0)
申論題 (6)
一、若一雙層膜的折射率分別為nH、nL,厚度均為
,夾在兩折射率為n
0
及n
T
的無窮大 4 介質之間,如圖一所示,試求當垂直入射光反射率R為零時,n
H
、n
L
與n
0
及n
T
的關 係。(20 分)
二、一濾波片用來從白光光源中得到近似單頻光,若光源的平均波長為 600nm,且通過頻 寬為 10nm的濾波片,試問通過濾波片的光波之相干長度l
c
及相干時間t
c
?(20 分)
三、若一平行之入射高斯光束,其光束半徑為 ω = ω
1
,曲率 R
1
= ∞ ,入射至一焦距為 f 的透鏡,試求穿透光束的最小光束半徑及最小光束半徑發生的所在位置。(15 分)
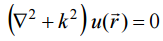
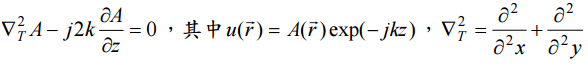
四、試 由 Helmhotz equation
, 推 導 出 paraxial Helmhotz equation
。(15 分)
五、若光線從折射率為n
1
的介質入射到折射率為n
2
且曲率為R的介質如圖二所示,試求其 光束矩陣(Ray matrix)M。(15 分)
六、若一共振腔是由兩個焦距分別為 f
1
及 f
2
的透鏡相距 d 所組成,試推導出此共振腔為 穩定共振腔的條件為何?(15 分)
相關試卷
99年 - 99 專利商標審查特種考試_三等_光電工程:光電工程導論#47008
99年 · #47008
96年 - 96 高等考試_二級_光電工程:光電工程導論#50854
96年 · #50854
96年 - 96 專利商標審查特種考試_三等_光電工程:光電工程導論#50537
96年 · #50537