所屬科目:研究所、轉學考(插大)-微積分
1. If f'(0) =-1, find.Answer : ________
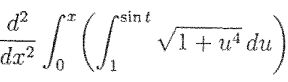
2. Find dt. Answer:_________
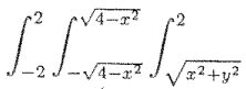
3. Convert the integral dzdydx to an equivalent integral in cylindrical coordinates. Answer :__________(Do not evaluate the integral).
4. Evaluate the integral Answer : ____________
6. The derivative of f(x, y) at P0(1, 2) in the direction of i + j is and in the direction -2j is -3. What is the derivative of f in the direction of -i -2j?Answer :__________
7.the area of cap cut from the sphere x2 + y2 + z2 == 2 by the cone z =.Answer :__________
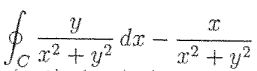
8. Evaluate the line integral f where C consists of line segments joining successively the points (1,0), (I, 1), (-1, 1) and (-1,0). Answer : __________
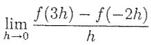
(a) Find the limit: (6分)
(a) A number a is called a fixed point of a function f if f(a) = a. Prove that if f'(x)≠1 for all real numbers x, then f has at most one fied point. (6 分)
(b) Show that if converges,thenconverges.(6分)