阿摩線上測驗
登入
首頁
>
研究所、轉學考(插大)-微積分
>
97年 - 97 台灣聯合大學系統(清、交、陽、中四校聯招)學士班轉學生聯合招生試題:微積分#113210
> 申論題
申論題
試卷:97年 - 97 台灣聯合大學系統(清、交、陽、中四校聯招)學士班轉學生聯合招生試題:微積分#113210
科目:研究所、轉學考(插大)-微積分
年份:97年
排序:0
申論題資訊
試卷:
97年 - 97 台灣聯合大學系統(清、交、陽、中四校聯招)學士班轉學生聯合招生試題:微積分#113210
科目:
研究所、轉學考(插大)-微積分
年份:
97年
排序:
0
題組內容
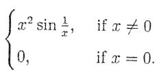
1. Let f(x) =
申論題內容
(b) Is the derivative function f'(x) continuous at x= 0? Explain. (6 分)