所屬科目:研究所、轉學考(插大)-微積分
1. A right triangle is formed by the coordinate axes and a line through the point (2, 5). Express the area of the triangle as a function of the x-intercept and calculate the minimal area of the triangle. (20%)
(a) ∫e2ˣ sin 2x dx (10%)
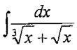
(b)dx (10%)
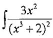
(c)(10%)
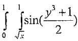
(d)dy dx (10%)
(a) From the Newton's second law, F=ma, solve the differential equation to find v = v(t). (10%)
(b) What happens to v(t) as t→∞. (10%)
4. Show that the f function (f(x, y, z) =) satisfies Laplace's equation in three dimensions. (20%)