阿摩線上測驗
登入
首頁
>
建築結構系統
> 97年 - 97 專技高考_建築師:建築結構#49169
97年 - 97 專技高考_建築師:建築結構#49169
科目:
建築結構系統 |
年份:
97年 |
選擇題數:
40 |
申論題數:
2
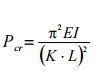
試卷資訊
所屬科目:
建築結構系統
選擇題 (40)
1 建築物採用鋼結構系統設計時,下列何者通常不屬於結構規劃時鋼料之設計需求? (A)物理性質及化學性質 (B)最小碳當量 (C)延展性 (D)衝擊韌性
2 下圖所示 4 個結構,柱的材料相同,梁為剛體,假定質量全部集中在梁,則下列 4 個結構的振動週期,何 者最長?
(A)結構(a) (B)結構(b) (C)結構(c) (D)結構(d)
3 右圖 H 型鋼之表示方式為何? 40mm (A) H600×400×40×19 (B) H600×19×400×40 (C) H600×400×19×40 (D) H600×19×40×400
4 RC 結構之混凝土抗壓強度 f 'c = 245 kg / cm
2
,其值轉換成英制單位 psi 時,最接近於何值? (A) 3000 psi (B) 3500 psi (C) 4000 psi (D) 4500 psi
5 鋼筋混凝土構造之梁柱接頭區剪力破壞機構,下列何者正確(
為開裂位置示意)? (A)
(B)
(C)
(D)
6 下列何者屬於非等向性材料? (A)玻璃 (B)塑膠 (C)鋼 (D)木
7 兩端受到純彎矩作用之鋼筋混凝土梁,下列有關此梁結構 行為之敘述,何者不正確? (A)梁之上側若受彎超過材料容許拉應力會因而產生裂縫 中立軸 (B)梁之斷面之中立軸位置承受之彎曲應力為最大值 (C)梁之斷面中立軸以上部位受到拉應力作用 (D)梁之斷面中立軸以下部位受到壓應力作用
8 不考慮纜索自重下,若纜索承受垂直均佈載重,則纜索會形成下列何種形狀? (A)多邊形 (B)懸鏈線形 (C)拋物線形 (D)橢圓形
9 圓形斷面承受剪力作用時,其最大剪應力 τ
max
與平均剪應力 τ
ave
之關係為何? (A)
(B)
(C)
(D)
10 下列何者不屬於「形抗結構」? (A)折板系統 (B)剛構架系統 (C)氣囊系統 (D)拱系統
11 下列有關管式結構系統(Tube Structure System)之敘述,何者正確?①水平力由外周立面柱承受 ②水平 力由內部梁柱承受 ③垂直力由外周立面柱承受 ④垂直力由內部梁柱承受 (A)①③ (B)①④ (C)②③ (D)②④
12 下列有關地震之敘述,何者最為正確? (A)震央為地震錯動的起始點 (B)通常對於建築物危害嚴重之地震為震源深度較深之深層地震 (C)台灣花蓮附近為歐亞大陸板塊和太平洋板塊之聚合板塊交界處所以地震非常頻繁 (D)我國現行震度共分為 0~7 級共 8 個等級 (E)以上皆非
13 右圖梁承受一集中力 P 於懸臂端,圖中標示位置之中何者剪應力最大? A)A點 (B)B點 (C)C點 (D)D點
14 一桁架受力如右圖所示,試問下列有關桁架的敘述何者正確? (A) D 點有垂直向上反力 (B)桁架除了 BC 桿件受力外,其餘桿件均不受力 (C) AC 桿為承受拉力之桿件 (D) BD 為承受壓力之桿件
15 右圖所示,長柱構件上下端皆固定(Fixed),此柱之臨界載重
試問公式中之有效長度係數 K 值為何? (A)2 (B)1 (C) 0.7 (D) 0.5
16 右圖所示,懸臂梁結構其自由端 a 點受 P 力作用,a 點最大撓度為 δ
av
, 若 EI 值不變,將其梁水平長度增加成 2L 時,a 點自由端的撓度變為原 有 δ
av
之多少倍? P (A)2 L a (B)4 (C)6 (D)8
17 下圖所示三鉸拱式之剛架結構,c 點為鉸接點,桿件之 EI 值皆相等,當受水平外力作用時,其剛架彎矩圖 (繪於拉力側)形式何者正確?
(A)
(B)
(C)
(D)
18 右圖結構,斷面 EI 為常數。在忽略構材之軸向變形下,下列有關 C 點的敘述何者正確? 3 (A)水平變位為
,向右 (B)水平變位為零 (C)水平變位為
,向右(D)水平變位為
,向左
19 下圖所示剛架結構,桿件之 EI 值皆相等,當受水平外力作用時,其剛架彎矩圖(繪於壓力側)形式何者正 確?
(A)
(B)
(C)
(D)
20 下圖之門形構架,當
時,且忽略桿件軸向變形之條件下,B 點產生向右一單位位移時所需施加 於 B 點之向右推力為何?
(A)
(B)
(C)
(D)
21 下圖所示之剛架結構,各桿件之 EI 值皆相等。當剛架溫度改變時,何者會產生桿件內部應力? (A)
(B)
(C)
(D)
22 地震發生時,何種地震波會被測站最先測得? (A) P 波(縱波) (B) S 波(橫波) (C) LQ 波(樂甫波) (D) LR 波(雷利波)
23 試問下列結構系統中,何者屬於拉力結構(Tensile structure)? (A)格子梁 (B)拱 (C)薄殼 (D)纜索
24 右圖所示,斜線部分對中立軸之面積一次矩值為何( cm
3
)? (A)0(B) 12 (C) 24 (D) 36
複選題
25 從事建築物耐震設計時,震區係以何者為劃分單位? (A)縣(市) (B)鄉(鎮、市、區) (C)村(里) (D)並非以行政區劃來劃分
26 圖示構架,如右邊支承端下陷,何者不會產生桿件內部應力? (A)
(B)
(C)
(D)
27 下圖所示剛架,各桿件材料相同,斷面尺寸相同。在圖示水平力作用下,何者為其破壞機構?
(圖中小圓 圈代表塑性鉸) (A)
(B)
(C)
(D)
28 地震規模之芮氏等級(Richter Scale)每增加 1,則地震能量增加值為何? (A)2倍 (B)4倍 (C) 16 倍 (D) 32 倍
29 依我國之建築技術規則或規範,地震靜力分析時,下列何者,其用途係數(Occupancy Importance Factor) I=1.5 ? (A)活動中心 (B)地下街 (C)醫院 (D)殯儀館
30 若有一支木梁受力分析得知其最大彎矩 M
max
= 4 t● m,而木結構材料之最大容許彎應力 σ
w
= 75 t / m
2
, 在設計木梁斷面時,選用梁寬為 50 cm,試問梁之深度至少為何? (A) 50 cm (B) 60 cm (C) 70 cm(D)80 cm
31 下列有關耐震設計基本原則之敘述何者不正確? (A)中小度地震時保持彈性限度內,地震後結構體沒有任何損壞 (B)低韌性容量之建築物必須特別注意中小度地震為其控制耐震設計 (C)達設計地震水準時,建築物不得產生嚴重損壞,以避免造成嚴重的人命及財產損失,設計時其韌性比不 得超過容許韌性容量 (D)達最大考量地震時,建築物不產生崩塌,以避免造成嚴重損失或二次災害,允許結構物使用之韌性達其 韌性容量
32 右圖鋼筋混凝土梁承受均佈載重,兩端皆為固定端,下列那一個部位需要配置張力鋼筋?
(A)梁之中心區頂部 (B)全梁之斷面中央 (C)梁之兩端區頂部 (D)梁之兩端區底部
33 耐風設計時,下列設計參數何者不受建築物所屬地況影響? (A)基本設計風速 (B)陣風反應因子 (C)梯度高度 (D)風速分布法則
34 基本設計風速
V
10
,係指離地面 10 公尺高,相對於 K 年回歸期之 10 分鐘平均風速,其單位為
m / s
。試 問回歸期 K 為何? (A) 20 年 (B) 30 年 (C) 40 年 (D) 50 年
35 針對地震作用,下列何者屬於不良配置?①建築物平面配置屬口字型 ②建築物平面配置屬 L 字型 ③梁 柱系統多處有短梁效應 ④梁柱系統屬強柱弱梁 (A)①③ (B)①④ (C)②③ (D)②④
36 「建築物耐震設計規範」針對勁度不規則(極軟層)之規定,係指該層之側向勁度在上一層側向勁度之多 少%以下? (A) 60 (B) 70 (C) 80 (D) 90
37 下列有關鋼結構系統採用低降伏比鋼材之敘述,何者不正確? (A)提早產生塑性鉸以吸收地震能量 (B)增加塑性鉸位置之塑性轉角容量 (C)柱梁接頭之塑性鉸區增長 (D)提昇柱梁接頭之消能容量
38 有一獨立方型基腳,如右圖所示,當其軸心承受軸向載重 45 t,基腳自重 12.5 t,而土壤之重為 5 t,若基地 容許地耐力 q
a
= 10 t / m
2
,則方型基腳之尺寸至少應為? (A) 1.5 m × 1.5 m (B) 2.0 m × 2.0 m (C) 2.5 m × 2.5 m (D) 2.2 m × 2.2 m
39 下列有關結構系統在耐震上之設計理念何者正確? (A)針對鋼筋混凝土剪力牆開垂直向槽縫將其均勻切割為數塊,雖然剛度及抗剪強度降低,但是可以提高韌 度 (B)偏心斜撐其耐震優勢主要在於破壞控制於斜撐主體,不影響柱梁結構系統,地震破壞後只要更換斜撐即 可確保安全 (C)同心斜撐設計主要以斜撐來抵抗大部分之地震力作用,故不可以在斜撐上增設消能元件 (D)冷卻水塔在設計裝設時,因屬於非建築結構物,故只需考慮其對主要結構體之靜載重負擔即可,不需考 慮地震力之影響
40 欲增加鋼筋混凝土梁之韌性,在法規最大鋼筋比及最小鋼筋比之範圍內調整設計,以下何者正確? (A)提高軸壓應力 (B)提高鋼筋降伏強度 (C)提高張力鋼筋之設計鋼筋比 (D)提高混凝土抗壓強度
申論題 (2)
【已刪除】一、一連續梁如圖(一),EI 值固定,試分析此連續梁,並畫出其剪力圖及彎矩圖。剪力圖 及彎矩圖上應註明最大值及其發生位置。假若此梁為 RC 梁,請畫出張力鋼筋應配置 在那邊?(20 分)
【已刪除】二、圖(二)所示鋼筋混凝土剛構架(Rigid frame)經耐震評估結果底層結構耐震能力嚴重 不足,試針對本構架底層提出兩種不同之改善方式,並繪詳圖說明。為使如圖(二)所 示相鄰構架間之底層空間保持適當穿透性 所提出之改善方案不可全部以壁體填充於 , 構架底層。(20 分)
相關試卷
114年 - 114 專技高考_建築師:建築結構#133658
114年 · #133658
114年 - 114 公務升官等考試_薦任_建築工程:建築結構系統#133157
114年 · #133157
113年 - 113 臺灣菸酒股份有限公司_評價職位人員轉任職員甄試試題_建築工程(北一區)_專業科目 1:建築結構系統、建築構造施工#137380
113年 · #137380
113年 - 113-2 國營臺灣鐵路股份有限公司_從業人員甄試試題_第9階-技術員-建築工程:建築結構系統概要#137152
113年 · #137152
113年 - 113-2 國營臺灣鐵路股份有限公司_從業人員甄試_第8階-助理工程師-建築工程:建築結構系統#137128
113年 · #137128
113年 - 113 國營臺灣鐵路股份有限公司_從業人員甄試_第 8 階-助理工程師-建築工程:建築結構系統#137101
113年 · #137101
113年 - 113 專技高考_建築師:建築結構#123947
113年 · #123947
112年 - 112 臺灣菸酒股份有限公司_評價職位人員轉任職員甄試試題_從業職員_建築(土木)工程_專業科目 1:建築結構系統、建築構造施工#137423
112年 · #137423
112年 - 112 地方政府特種考試_三等_建築工程:建築結構系統#118181
112年 · #118181
112年 - 112 專技高考_建築師:建築結構#117513
112年 · #117513