所屬科目:國中會考基測◆數學科
2. 小華從圖(一)的A點出發,沿ABCDEF路線行走。已知A、B兩點座標分別為(-1,-2) (9,-2),且 =10 , =8 , =6, =4, =2,則終點F座標為何? (A)(6,4 ) (B) (5,2) (C)(4,1) (D)(2,1)
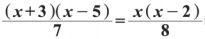
3. 若二元一次聯立方程式的解為x=a,y=b,則a+b=? (A) 0 (B) 7 (C) 14 (D) 22
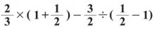
5. 計算之值為何? (A) 4 (B) 2 (C)-1/2 (D)-3/2
6. 將長方形ABCD分為甲、乙、丙(丁四個全等的小長方形,如圖(二)所示, 其中E、F、G在上,且=4,=8。若在此四個小長方形內找一點H,使得=3,=6,則H在下列哪一個長方形內?(A)甲(B)乙(C)丙(D)丁
8. 計算之值為何? (A)3 (B)160 (C)320 (D)480
10. 如圖(三),在梯形ABCD中, , LA=90°,=5,=13。若作的中垂線恰可通過B點,則=? (A)8 (B)9 (C)12 (D)18
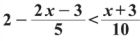
13. 解一元一次不等式,得其解的範圍為何? (A)x>23/5 (B)x<23/5 (C)x>10 (D)x<10
19. 圖(七)是△ABC與△DBE重疊的情形,其中C在上,且=9,=7,=6。若∠DEB=α,∠DBE=β,則∠ABD=? (A) (B) α - β (C) 180° - α - β (D) 180° - α - 2β
20. 如圖(八),長方形ABCD中,M、N兩點分別是的中點,且長方形AMND分成甲、乙兩長方形,長方形MBCN分成丙、丁兩長方形。若面積比甲:乙=7:3,丙:丁=5:9,則乙:丙=? (A)1 : 1 (B)3 : 5 (C)21 : 25 (D)27 : 35
23. 如圖(九),G為△ABC的重心,M、N兩點分別在上 ,且。若=4,=3,∠B=90°,則長方形MBNG的面積為何? (A)2 (B)3 (C)3/4 (D)4/3
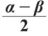
25. 若α、β為方程式的兩根,且α>β,則α+2β=? (A)5 (B)10 (C)-6 (D)-8
26. 如圖(十一),兩正方形ABCD、GCEF的面積分別為1、49,且C點在上。若與相交於H點,則=? (A)1 (B)3/4 (C)5/6 (D)7/8
30. 如圖(十二),四邊形ABCD為矩形,=18,=8√3,E點在上,且=6。以E為圆心,12為半徑畫弧,交於F,求圖中灰色部分面積為何? (A) 48π+18√3 (B) 72π-18√3 (C) 120π +9√3 (D) 36π
33. 如圖(十四),座標平面上,I為△ABC的內心,其中平行x軸,∠CAB=90°,且A的座標為(2, 1)。求直線AI與y軸的交點座標為何? (A) (0, -1/2) (B) (0, -1) (C) (0, -3/2) (D) (0, -2)
34. 如圖(十五),∠A的兩邊分別與圓相切於B、C兩點。以下是甲、乙兩人找出圓心的作法:
甲 : 1. 過B點作一直線L垂直直線AB。
2. 連接,作中垂線交L於O點,O點即為所求。
乙 : 1. 作∠A的平分線L。
2. 以A為圓心,長為半徑畫弧交L於O點,O點即為所求。 對於兩人的做法,下列哪一個判斷是正確的? (A)兩人都正確 (B)兩人都錯誤 (C)甲正確,乙錯誤 (D)甲錯誤,乙正確