所屬科目:研究所、轉學考(插大)-微積分
1. (10%) Find an equation for the tangent line to the curve x³+y³=1+3xy² at (2,-1).
2. (10%) Use a differential to estimate cos 46°. (=1.41421,π=3.14159)
3. (10%) Find the volume of the solid generated by revolving the regionbounded by y=x² and y=2x about the x-axis.
4. (10%) Definition: The function ln(x) = , x > 0, is called the natural logarithm function. Prove that In(ab) = ln(a) + In(b) for a, b > 0.
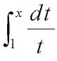
5. (10%) Find the function f(x), such that f(t)dt = -5.
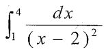
6. (10%) Evaluate
(a) (2%) Show that it is increasing.
(b) (3%) Find the greatest lower bound.
(c) (5%) Find the least upper bound.
8. (10%) Verify that the improper-integral diverges.
9. (10%) Show that the series converges on [-1, 1).
10. (10%) Use the chain rule to find the rate of change of f(x,y) = (x3 + y3) with respect to t along the curve r(t) = cos(t) i + sin(t) j.