阿摩線上測驗
登入
首頁
>
研究所、轉學考(插大)-微積分
>
98年 - 98 國立暨南國際大學_轉學生入學考試試題_資工系二:微積分#124587
> 申論題
題組內容
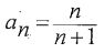
7. (10%)The sequence {aₙ} defined by
(c) (5%) Find the least upper bound.
相關申論題
1. (10%) Find an equation for the tangent line to the curve x³+y³=1+3xy² at (2,-1).
#529867
2. (10%) Use a differential to estimate cos 46°. (=1.41421,π=3.14159)
#529868
3. (10%) Find the volume of the solid generated by revolving the regionbounded by y=x² and y=2x about the x-axis.
#529869
4. (10%) Definition: The function ln(x) = , x > 0, is called the natural logarithm function. Prove that In(ab) = ln(a) + In(b) for a, b > 0.
#529870
5. (10%) Find the function f(x), such that f(t)dt = -5.
#529871
6. (10%) Evaluate
#529872
(a) (2%) Show that it is increasing.
#529873
(b) (3%) Find the greatest lower bound.
#529874
8. (10%) Verify that the improper-integral diverges.
#529876
9. (10%) Show that the series converges on [-1, 1).
#529877
相關試卷
113年 - 113 國立嘉義大學_轉學生招生考試試題_(全校):微積分#122986
113年 · #122986
112年 - 112 國立臺灣大學_碩士班招生考試題:微積分(D)#130254
112年 · #130254
112年 - 112 國立陽明交通大學_碩士班入學招生試題_統計學研究所﹕微積分與線性代數#130252
112年 · #130252
112年 - 112 國立嘉義大學_轉學生招生考試試題:微積分#123297
112年 · #123297
112年 - 臺灣綜合大學系統112 學年度學士班轉學生聯合招生考試試題 微積分A#120563
112年 · #120563
112年 - 112 臺灣聯合大學系統(清華、陽交、中央 聯招)學士班轉學生考試_A3、A4、A6理工組:微積分#117689
112年 · #117689
112年 - 112 臺灣聯合大學系統(清華、陽交、中央三校聯招)學士班轉學生考試_A2商管組:微積分#117687
112年 · #117687
112年 - 112 國立高雄師範大學轉學生招生考試試題_電子工程學系二年級:微積分#116290
112年 · #116290
112年 - 112 國立高雄師範大學_轉學生招生考試試題_電機工程學系二年級:微積分#116289
112年 · #116289
111年 - 111 國立臺北大學_轉學生招生考試試題_經濟學系二年級:微積分#117728
111年 · #117728