阿摩線上測驗
登入
首頁
>
流體力學
> 98年 - 98 專技高考_造船工程技師:流體力學#32533
98年 - 98 專技高考_造船工程技師:流體力學#32533
科目:
流體力學 |
年份:
98年 |
選擇題數:
0 |
申論題數:
4
試卷資訊
所屬科目:
流體力學
選擇題 (0)
申論題 (4)
一、寫出流體力學中不可壓縮流體常用的三個運動方程式:Euler Equation,Navier Stokes Equation,Reynolds Equation。寫出其對應的質量守恆連續方程式。說明其各 別用來處理何種流體運動問題。(21 分)
二、用公式解釋下列七個名詞: 理想流體(ideal fluid),真實流體(real fluid),旋轉性運動(rotational motion), 非旋轉性運動(irrotational motion),流速勢(velocity potential),流線函數(stream function),流線(stream line)。(21 分)
三、對一穩態水平光滑管流(steady horizontal smooth pipe flow)而言,利用因次分析方法 探討因變數壓力降(∆ p)與下列自變數:管長(l),管徑( ),平均流速(V ), 黏滯係數(µ ),流體密度(ρ )間之無因次函數關係。若自變數不包括流體密度 (ρ ),則因次分析方法所得之無因次函數關係型式為何?說明物理意義上二者各 別對應工程設計上管流常用 Moody chart 的那一部分應用範圍。(26 分)
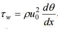
【已刪除】四、設 座標平行於平板, 座標垂直於平板,假設平板上穩態層流邊界層內之流速分佈為 三次多項式,推導其流速分佈與無因次高度( y /δ =η )的關係u/ u
0
= F( y/ δ) = F( η) 。 利用 momentum integral equation
推導邊界層厚度δ ,邊界層動量厚度θ , 平板上剪應力 w τ 之公式,各表示為平板座標 x與雷諾數R
ex
= ρu
0
x / µ 之關係,其中 µ
0
為黏滯係數, ρ 為流體密度, 為邊界層外之均勻入流流速(uniform upstream flow)。(32 分)
相關試卷
114年 - 114 地方政府公務特種考試_三等_水利工程:流體力學#134777
114年 · #134777
114年 - 114 地方政府公務特種考試_四等_水利工程:流體力學概要#134736
114年 · #134736
114年 - 114 專技高考_水利工程技師:流體力學#133675
114年 · #133675
114年 - 114 公務升官等考試_薦任_水利工程:流體力學#133259
114年 · #133259
114年 - 114 普通考試_水利工程:流體力學概要#128762
114年 · #128762
114年 - 114 高等考試_三級_水利工程:流體力學#128749
114年 · #128749
114年 - 114 身心障礙特種考試_三等_水利工程:流體力學#126638
114年 · #126638
113年 - 113 地方政府公務特種考試_三等_水利工程:流體力學#124528
113年 · #124528
113年 - 113 地方政府公務特種考試_四等_水利工程:流體力學概要#124496
113年 · #124496
113年 - 113 專技高考_水利工程技師:流體力學#123974
113年 · #123974