阿摩線上測驗
登入
首頁
>
研究所、轉學考(插大)-微積分
> 98年 - 98 淡江大學轉學考_理工組二年級:微積分 #56038
98年 - 98 淡江大學轉學考_理工組二年級:微積分 #56038
科目:
研究所、轉學考(插大)-微積分 |
年份:
98年 |
選擇題數:
0 |
申論題數:
15
試卷資訊
所屬科目:
研究所、轉學考(插大)-微積分
選擇題 (0)
申論題 (15)
【已刪除】1. Evaluate
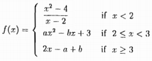
【已刪除】2. Find the values of a and b that make f continue everywhere.
【已刪除】3.
【已刪除】4.
【已刪除】5.
【已刪除】6.
【已刪除】7.
8. Find the equation of the tangent plane to the given surface, z+1 =
cos z,at the point (1,0,0).
【已刪除】9. Evaluate the integral
【已刪除】10. Find the interval of convergence of the series
1. (a) State the Mean Value Theorem,
(b) Show that the equation 1 + 2x+x
3
+ 4x
5
= 0 has exactly one real root.
2. Find the maximum and minimum of the function f (x,y) = x
2
y subject to the constraint x
2
+ 2y
2
= 6.
【已刪除】3. Find the third-degree Taylor polynomial of function
【已刪除】4. Evaluate the integral
、where R is the trapezoidal region with vertices (1,0), (2,0), (0,2), and (0,1).
相關試卷
113年 - 113 國立嘉義大學_轉學生招生考試試題_(全校):微積分#122986
113年 · #122986
112年 - 112 國立臺灣大學_碩士班招生考試題:微積分(D)#130254
112年 · #130254
112年 - 112 國立陽明交通大學_碩士班入學招生試題_統計學研究所﹕微積分與線性代數#130252
112年 · #130252
112年 - 112 國立嘉義大學_轉學生招生考試試題:微積分#123297
112年 · #123297
112年 - 臺灣綜合大學系統112 學年度學士班轉學生聯合招生考試試題 微積分A#120563
112年 · #120563
112年 - 112 臺灣聯合大學系統(清華、陽交、中央 聯招)學士班轉學生考試_A3、A4、A6理工組:微積分#117689
112年 · #117689
112年 - 112 臺灣聯合大學系統(清華、陽交、中央三校聯招)學士班轉學生考試_A2商管組:微積分#117687
112年 · #117687
112年 - 112 國立高雄師範大學轉學生招生考試試題_電子工程學系二年級:微積分#116290
112年 · #116290
112年 - 112 國立高雄師範大學_轉學生招生考試試題_電機工程學系二年級:微積分#116289
112年 · #116289
111年 - 111 國立臺北大學_轉學生招生考試試題_經濟學系二年級:微積分#117728
111年 · #117728