阿摩線上測驗
登入
首頁
>
公職◆渠道水力學
> 98年 - 98 高等考試_二級_水利工程:渠道水力學#33764
98年 - 98 高等考試_二級_水利工程:渠道水力學#33764
科目:
公職◆渠道水力學 |
年份:
98年 |
選擇題數:
0 |
申論題數:
9
試卷資訊
所屬科目:
公職◆渠道水力學
選擇題 (0)
申論題 (9)
【已刪除】一、⑴請證明寬廣渠道緩變水流(GVF)的陡坡(S type)與緩坡(M type)的坡度劃分依據為
,式中,n為曼寧糙度係數、g為重力加速度、q為單位寬度流量。
⑵GVF 發生在 3 m寬的矩型渠道,坡度為 S
0
=0.00015,n=0.02,流量為 0.85 m
3
/s,請問 當水深為 0.75 m時的水面坡度(相對於水平面)?(20 分)
⑴∆Z=0.20 m及
⑵∆Z =0.35 m 時的上下游水深;
⑶將兩結果繪製於比能圖。(20 分)
三、一水躍發生在夾角為 90°之三角形渠道內,若持續水深(sequent depths)分別為 0.60 m 及 1.20 m,求流量及水躍上下游之福祿數(Froude numbers)。(20 分)
⑴ 請問下游水庫水位為多少時,可以保持渠道為均勻流(uniform flow)?
⑵若下游水 庫水位為 103.4 m,請問是何種GVF 剖面?是否會影響渠道之均勻流量?(20 分)
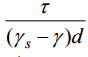
【已刪除】五、河道河床質之啟動常使用希爾茲圖(Shields’ diagram)來判斷,其中當無因次參數
=0 056 時,可視為泥砂粒徑(d)的臨界啟動值,式中,τ 為底床剪應力 (shear stress), γ
s
及γ 分別為泥砂與水的單位重量(specific weight)。假若一梯 形渠道,底寬為 3.0 m、坡度為 0.004、側邊坡的水平垂直比為 1.5H:1V,水深為 1.30 m, 請問底床不會移動的最小泥砂粒徑為何?(20 分)
相關試卷
114年 - 114 地方政府公務特種考試_三等_水利工程:渠道水力學#134750
114年 · #134750
114年 - 114 專技高考_水利工程技師:渠道水力學#133580
114年 · #133580
114年 - 114 高等考試_二級_水利工程:渠道水力學#131584
114年 · #131584
114年 - 114 高等考試_三級_水利工程:渠道水力學#128731
114年 · #128731
113年 - 113 地方政府公務特種考試_三等_水利工程:渠道水力學#124529
113年 · #124529
113年 - 113 專技高考_水利工程技師:渠道水力學#123919
113年 · #123919
113年 - 113 高等考試_二級_水利工程:渠道水力學#123047
113年 · #123047
113年 - 113 高等考試_三級_水利工程:渠道水力學#121492
113年 · #121492
112年 - 112 地方政府特種考試_三等_水利工程:渠道水力學#118350
112年 · #118350
112年 - 112 專技高考_水利工程技師:渠道水力學#117621
112年 · #117621