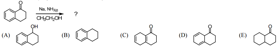
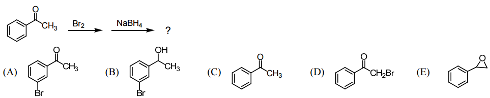
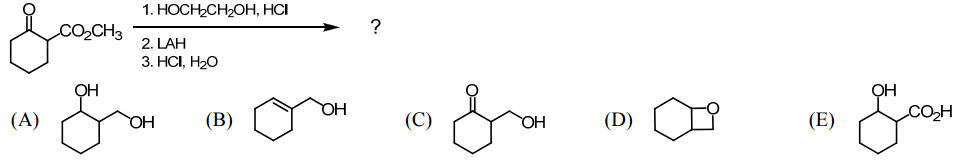
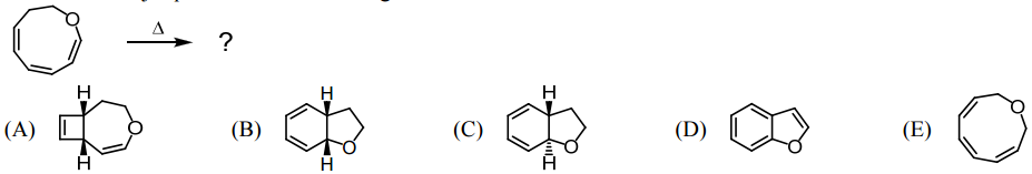
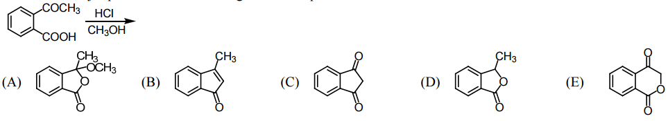
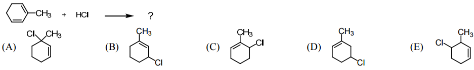
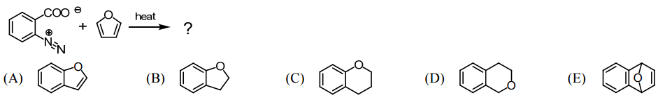
所屬科目:學士後西醫-化學
14. Which of the following structures is chiral? (A)(B)(C)(D)(E) none of above
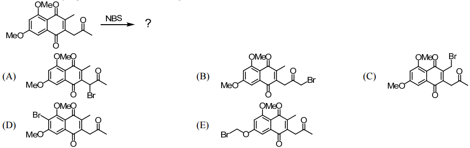
29. Which of the following halides has the greatest rate toward nucleophilic aromatic substitution? (A)(B)(C)(D)(E) they all have the same rate