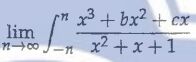
5. (15%) Evaluate the following integral

along the curve C = {(x,y,z) ∈ R³ | x² + y² = 4, z = -3}, oriented counterclockwise as seen by a person standing at the origin and with respect to the right-handed Cartesian coordinates, where
F = yi + xz³j – zy³k,
r' = dr/ds is the unit tangent vector, and *sis the arc length of C