所屬科目:國中會考基測◆數學科
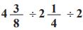
3. 計算之值為何? (A) 5/2 (B) 7/4 (C) 35/9 (D) 35/36
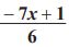
7. 簡化,可得下列哪一個結果?
(A) -7x+7
(B) -7x+11
(C)
(D)
16. 圖(七)為三角形紙片ABC,上有一點P。已知將A、B、C往內摺至P時,出現摺線,其中Q、R、S、T四點會分別在上,如圖(八)所示。若△ABC、四邊形PTQR的面積分別為16、5,則△PRS面積為何? (A)1 (B)2 (C)3 (D)4
18. 圖(九)是E、F、G、H、I、J六點在菱形ABCD四邊上的位置圖,其中將菱形分成甲、乙、丙、丁、戊、己六個平行四邊形。若 = 5 : 10 : 9, = 3 : 5,則下列哪一圖形與菱形ABCD相似? (A)甲 (B)乙 (C)丙 (D)丁
21. 圖(十一)為扇形DOF與直角△ABC的重疊情形,其中O、D、F分別在上,且與相切於E點。若=3,∠DOF=∠ACB=90°,且 = 2 : 1,則AB的長度為何? (A)6 (B)3√3 (C)6+√3 (D)3+2√3
23. 如圖(十二),圖上有B、C兩點為圓的兩切線。若將圓分成兩弧,且其中一弧的長為圓周長的1/10,則∠BPC的度數為何? (A)108 (B)120 (C)144 (D)162
28. 圖(十四)表示甲、乙、丙三個三角形,每個三角形的內角均為55°、60°、65°。若,則甲、乙、丙周長的關係為何? (A)甲=乙=丙 (B)甲<乙<丙 (C)甲<丙<乙 (D)丙<乙<甲
33. 如圖(十七),平行四邊形紙片ABCD的面積為120,=20,=18。今沿 兩對角線將四邊形ABCD剪成甲、乙、丙、丁四個三角形紙片。若將甲、丙 合併(重合)形成一線對稱圖形戊,如圖(十八)所示,則圖形戊的 兩對角線長度和為何? (A)26 (B)29 (C) (D)
34. 如圖(十九),ABC中,LB=90, =21,=20若有一半徑為10的圓分別與相切,則下列何種方法可找到此圓的圓心? (A)∠B的角平分線與的交點 (B)的中垂線與中垂線的交點 (C)∠B的角平分線與中垂線的交點 (D)∠B的角平分線與中垂線的交點