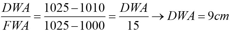
11.船舶裝載時,其碼頭水密度為1.010,FWA=15 cm,求船舶進入海水時,其水尺之改變量是多少公分?
(A)6
(B)7
(C)8
(D)9
答案:登入後查看
統計: A(23), B(32), C(19), D(86), E(0) #739627
統計: A(23), B(32), C(19), D(86), E(0) #739627
詳解 (共 3 筆)
#1007127
15CM*15(1.025-1.010)/25
7
0
#4341371
1.025-1.01/1.025-1x15
0.015/0.025=0.6
0.6x15=9
5
1
#7300634

0
0