阿摩線上測驗
登入
首頁
>
專技◆航海◆貨物作業(概要)
>
103年 - 103年交通部第4次航海人員測驗 一等船副 貨物作業#19519
> 試題詳解
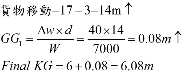
9.某船排水量7,000噸,KG=6公尺,在下大艙有一物重40噸,其KG=3公尺,當用吊桿吊離艙底板1.5公尺,吊桿頂距龍骨17公尺,求新KG是多少公尺?
(A)6.08
(B)6.28
(C)6.48
(D)6.68
答案:
登入後查看
統計:
A(104), B(31), C(17), D(5), E(0) #739625
詳解 (共 3 筆)
rabbit25647
B1 · 2017/10/03
#2430019
GG1=w*d/排水量=<17-3...
(共 61 字,隱藏中)
前往觀看
12
0
林哲民
B2 · 2018/07/09
#2904563
吊桿吊起貨物時,d為吊桿總長減去原KG。...
(共 91 字,隱藏中)
前往觀看
10
1
馬英精
B4 · 2026/02/17
#7300671
0
0
相關試題
1.裝貨清單上縮寫符號CN表示下列那一項包裝形式? (A)罐頭桶裝 (B)大木桶裝 (C)鼓形桶裝 (D)手提桶裝
#739617
2.下列那一種型式貨櫃船(Container ship)又稱為LASH子母船? (A)Lift on / Lift off (B)Roll on / Roll off (C)Float on / Float off (D)Plug on / Plug off
#739618
3.下列船舶(Vessel)類型中,何者艙口最大? (A)油輪(Oil tanker) (B)礦砂船(Ore carrier) (C)汽車船(Car carrier) (D)貨櫃船(Container ship)
#739619
4.計算自貨艙兩舷側之墊材至另一墊材,自艙底板至上甲板樑之下緣之容積稱為下列何者? (A)包裝容積 (B)散裝容積 (C)艙口容積 (D)開口容積
#739620
5.某運礦粉的散裝船(Bulk carrier)其自然減量的主要原因為下列何者? (A)蒸發與揮發 (B)飛揚與撒落 (C)溢滲與漏失 (D)氧化與銹蝕
#739621
6.在靜穩定曲線圖上,靜穩定性力臂曲線下的面積乃指下列何者? (A)動穩性力臂 (B)動穩性力矩 (C)靜穩性力矩 (D)最小傾覆力矩
#739622
7.IMDG Code內危險貨物一覽表(Dangerous Goods List)的順序排列為何? (A)以危險貨物的類別順序排列 (B)以危險貨物的英文字母順序排列 (C)以危險貨物的聯合國編號順序排列 (D)以危險貨物的危險性順序排列
#739623
8.依據IMO「散裝固體貨物安全作業章程」之貨物配載之一般注意事項,一般而言,高密度貨物應裝載於何處? (A)下層貨艙 (B)中層貨艙 (C)上層貨艙 (D)甲板
#739624
10.依規定,在季節性冬季區內之船舶,其木材甲板貨在露天甲板以上高度,不應超過船舶最大寬度之多少? (A)1/5 (B)1/4 (C)1/3 (D)1/2
#739626
11.船舶裝載時,其碼頭水密度為1.010,FWA=15 cm,求船舶進入海水時,其水尺之改變量是多少公分? (A)6 (B)7 (C)8 (D)9
#739627
相關試卷
114年 - 114-4 航海人員測驗_一等船副:貨物作業#135812
2025 年 · #135812
114年 - 114-3 航海人員測驗_一等船副:貨物作業#130652
2025 年 · #130652
114年 - 114-2 航海人員測驗_一等船副:貨物作業#127557
2025 年 · #127557
114年 - 114-1 航海人員測驗_一等船副:貨物作業#125834
2025 年 · #125834
113年 - 113-1 航海人員測驗_二等船副:貨物作業概要#126051
2024 年 · #126051
113年 - 113-4 航海人員測驗_一等船副:貨物作業#124032
2024 年 · #124032
113年 - 113-3 航海人員測驗_一等船副:貨物作業#122453
2024 年 · #122453
113年 - 113-2 航海人員測驗_一等船副:貨物作業#120145
2024 年 · #120145
113年 - 113-1 航海人員測驗_一等船副:貨物作業#118955
2024 年 · #118955
112年 - 112-1 航海人員測驗_二等船副:貨物作業概要#123315
2023 年 · #123315