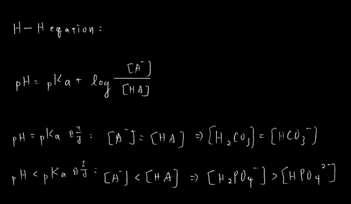
12. 一個溶液含有以下兩種緩衝系統,請問在 pH = 6.4 時,下列敘述何者為真?
(A) [H2CO3] = [HCO3 – ], [H2PO4 – ] > [HPO42– ]
(B) [H2CO3] = [HCO3– ], [HPO42– ] > [H2PO4 – ]
(C) [H2CO3] > [HCO3 – ], [H2PO4 – ] > [HPO4 2– ]
(D) [H2CO3] > [HCO3– ], [HPO42– ] > [H2PO4 – ]
答案:登入後查看
統計: A(170), B(23), C(9), D(5), E(0) #3053473
統計: A(170), B(23), C(9), D(5), E(0) #3053473
