13. 如果一個氫原子和一個氦原子具有相同的動能,
(A) 氫原子的波長大約是氦原子的波長的 4 倍
(B) 氫原子的波長大約是氦原子的波長的 2 倍
(C) 氫原子的波長大約與氦原子的波長相等
(D) 氦原子的波長大約是氫原子的波長的 4 倍
答案:登入後查看
統計: A(33), B(93), C(54), D(48), E(0) #2853738
統計: A(33), B(93), C(54), D(48), E(0) #2853738
詳解 (共 3 筆)
#6149238
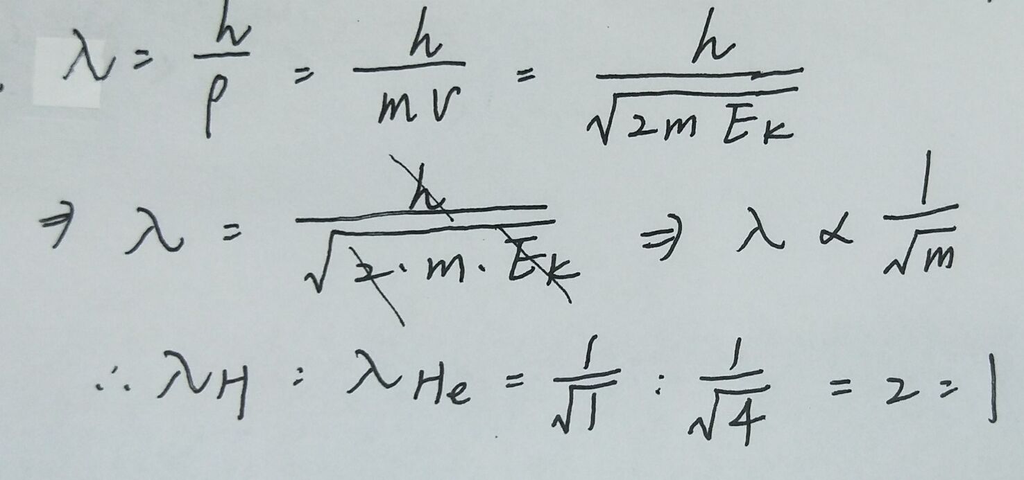
請參考德布若依物質波
公式如下

又因為動能Ek = ½mv²
所以mv = √(2mEk)
ㅤㅤ
全部算式如下

久久才考一次 不會就跳過~
12
0