阿摩線上測驗
登入
首頁
>
學士後中醫◆化學(含普通化學、有機化學)
>
101年 - 義守學士後中醫 - 化學(含普通化學、有機化學)#24470
> 試題詳解
試題詳解
試卷:
101年 - 義守學士後中醫 - 化學(含普通化學、有機化學)#24470 |
科目:
學士後中醫◆化學(含普通化學、有機化學)
試卷資訊
試卷名稱:
101年 - 義守學士後中醫 - 化學(含普通化學、有機化學)#24470
年份:
101年
科目:
學士後中醫◆化學(含普通化學、有機化學)
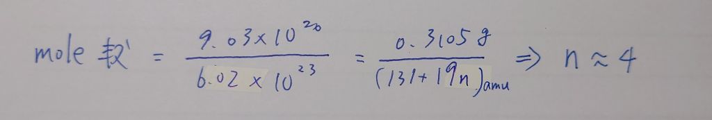
13. 某化合物之分子式為XeFn,其n為整數,9.03×10
20
個分子的XeF
n
重量為0.3105 g,請問n為何數?(原 子量Xe: 131, F: 19; N
A
= 6.02×10
23
)
(A) 1
(B) 2
(C) 3
(D) 4
正確答案:
登入後查看
詳解 (共 1 筆)
hm24753576
B1 · 2019/05/10
推薦的詳解#3340034
未解鎖
列式,兩邊莫二數相等0.3105/ (1...
(共 71 字,隱藏中)
前往觀看
14
0
私人筆記 (共 1 筆)
Hsuan #AI筆記
2025/06/30
私人筆記#7196133
未解鎖
(共 0 字,隱藏中)
前往觀看
2
0