試卷名稱:114年 - 114 國立清華大學學士後醫學系單獨招生考試_學士後醫學系/智慧資訊科技組:資訊科學#135660
年份:114年
科目:學士後西醫◆資訊科學
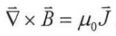
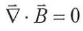
15. The Maxwell's equations related to static magnetic field are
and
. Which of the following magnetic field line illustrated in the figures clearly violates Maxwell's equation?
(A)
(B) 
(C) 
(D) 
(E) 