16 下列何種設計策略會增長建物基本振動週期?
(A)增大柱斷面
(B)增設隔震器
(C)增設剪力牆
(D)減低柱高
答案:登入後查看
統計: A(29), B(322), C(21), D(27), E(0) #3171355
統計: A(29), B(322), C(21), D(27), E(0) #3171355
詳解 (共 2 筆)
#6748602

-
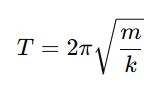
剛度 k增大 → T 變短(週期縮短)。
-
剛度 k減小 → T 變長(週期增長)。
-
增加質量 m也會讓週期變長。
(A) 增大柱斷面
→ 提高柱剛度 k → T 縮短,錯。
(B) 增設隔震器
→ 隔震器是柔性支承,大幅降低基礎剛度 → T 增長。✅ 正確。
(C) 增設剪力牆
→ 剪力牆會顯著增加整體剛度 → T 縮短,錯。
(D) 減低柱高
→ 柱變短剛度增加(短柱效應) → T 縮短,錯。
2
0