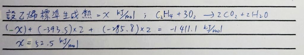
16. 乙烯6110c84799b17.jpg之標準燃燒熱為-1411.1 kJ/mol,6110c8692f309.jpg之標準生成熱為-393.5 kJ/mol,6110c88720438.jpg之標準生 成熱為-285.8 kJ/mol,則乙烯之標準生成熱(∆Hf, kJ/mol)為何?
(A) 52.5
(B) -1195.6
(C) -338.2
(D) 731.7

答案:登入後查看
統計: A(434), B(9), C(32), D(30), E(0) #2751821

詳解 (共 4 筆)

#5599318
6
0
#4992069
-393.5*2+(-285.8)*2-...
(共 57 字,隱藏中)
前往觀看
5
1
#4992101
1 C2H4+ 3 O2  → 2 CO...
(共 267 字,隱藏中)
前往觀看
2
1
#7272901
這是一題標準的**熱化學(Thermo...
(共 3730 字,隱藏中)
前往觀看
0
0

私人筆記 (共 2 筆)

私人筆記#5706881
未解鎖


(共 0 字,隱藏中)
前往觀看
10
1
私人筆記#3981155
未解鎖


(共 0 字,隱藏中)
前往觀看
6
0