2. 下列四種苯甲酸化合物,酸性由大到小的順序何者正確?
(A) Ⅰ>Ⅱ>Ⅲ>Ⅳ
(B) Ⅰ>Ⅳ>Ⅲ>Ⅱ
(C) Ⅱ>Ⅲ>Ⅰ>Ⅳ
(D) Ⅱ>Ⅲ>Ⅳ>Ⅰ
(E) Ⅲ>Ⅱ>Ⅳ>Ⅰ
答案:登入後查看
統計: A(55), B(57), C(304), D(100), E(24) #1815318
統計: A(55), B(57), C(304), D(100), E(24) #1815318
詳解 (共 5 筆)
#4943010
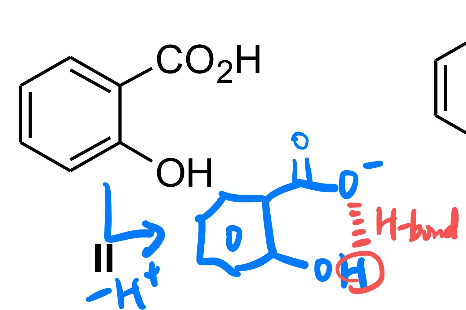
ortho羥基苯甲酸(又稱為水楊酸)最強,因為可產生分子內氫鍵,大幅提高酸性
再來是meta,OH對於COOH的共振推影響小,並且高EN的氧原子可以誘導拉,增加酸性
再來是普通苯甲酸,沒有變強也沒有變弱
最後才是para羥基苯甲酸,OH共振推COOH降低酸性
28
0
#5672319
取代基拉電子,能穩定釋出H後產生的負電荷;愈穩定就愈願意釋出H,酸性愈高
21
0
#7345435

0
0