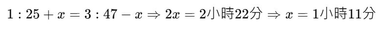
21. 數位鬧鐘有兩種功能:一種是倒數計時;一種是顯示時間。小明於上午1:25醒來,看見數位鬧鐘顯示3:47,表示 3小時 47分後,
數位鬧鐘會響起。若小明在鬧鐘響起前第二次醒來,此時數位鬧鐘顯示的時間恰好是當時的時刻。請問此時刻為何?
(A) 上午2:22
(B) 上午2:36
(C) 上午3:47
(D) 上午5:12
答案:登入後查看
統計: A(8), B(68), C(18), D(50), E(0) #3247156
統計: A(8), B(68), C(18), D(50), E(0) #3247156
詳解 (共 3 筆)
#6386992
1:25=85分
3:47=227分
85+x=227+x
2x=142
x=71
85+71=156(分)=>2:36
1
0
#6389102
題目要你抓住的兩件事:
數位鬧鐘有兩種功能:
-
倒數計時模式(比如「3:47 後會響」)
-
顯示現在時間的模式
事件發生順序:
第一次醒來:
-
實際時間是:上午1:25
-
鬧鐘顯示的是:3:47 → 代表 3小時47分後會響
也就是這個「3:47」是倒數模式,不是現在時間。
第二次醒來:
-
此時鬧鐘依然是「倒數」模式
-
但顯示的時間跟「現在時間」相同
問題是:第二次醒來時,現在幾點?
我們設「經過了x分鐘」:
當小明第一次醒來的時候
鬧鐘倒數計時是:還剩 3小時47分
第二次醒來時,鬧鐘顯示的也是當時的時刻
→ 意思是:小明第一次醒來後經過了x分鐘,那:
-
鬧鐘的倒數時間也減少了x分鐘 → 變成:3:47 - x 分鐘
-
真實時間則增加了x分鐘 → 從 1:25 變成 1:25 + x 分鐘
題目的關鍵句:
「此時數位鬧鐘顯示的時間恰好是當時的時刻。」
也就是說正確的式子是:

ㅤㅤ
所以第二次醒來的時間是:
答案就是:(B) 上午2:36
1
0