阿摩線上測驗
登入
首頁
>
工程力學(含靜力學、動力學與材料力學)
>
108年 - 108 漢翔航空工業股份有限公司_新進人員甄選試題_師級-結構分析:工程力學#137760
> 試題詳解
23.有一向量
,則此向量與 x 軸之夾角為何?
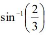
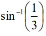
(A)
(B)
(C)
(D)
答案:
登入後查看
統計:
尚無統計資料
相關試題
17.下列有關質點系統的線動量與線衝量之敘述,何者錯誤?(A)在一質點系統中,某一質點的動量僅受系統的外力所影響,不受系統的內力影響(B)一質點系統若僅有系統內作用力而不受外力作用,則系統的動量守恆(C)一質點系統若僅有系統內作用力而不受外力作用,則系統內任一質點的動量不一定守恆(D)一質點系統如不受外力作用,則可以利用動量守恆來分析其質心的運動,但個別質點的運動則一般不能運用動量守恆來分析
#3830528
18.一在光滑平面上靜止的 1 kg 方塊,被一 50 g 子彈以 200 m/s 之速度擊中,擊中後子彈卡在方塊內,則受擊後方塊的速度為多少?(A) 9.52 m/s (B) 10 m/s (C) 10.53 m/s (D) 210 m/s
#3830529
19.如【圖 19】所示,1,000 N 的力作用在 L 型桿件的 B 點處,則此力對 A 點的力矩為何?(A) 600 N-m( )(B) 600 N-m ( )(C) 2,400 N-m( )(D) 5,400 N-m( )
#3830530
20.如【圖 20】所示之同平面平行力系,其合力之作用位置到 A 點的距離為多少 m?(A) 9.6 (B) 5.2 (C) 2.6 (D) 0.8
#3830531
21.下列有關質點(particle)與剛體(rigid body)之敘述,何者錯誤?(A)兩者皆有體積 (B)兩者皆有質量(C)兩者皆無變形 (D)剛體可有旋轉自由度,質點則無法定義旋轉自由度
#3830532
22.兩單位向量其方向間之夾角為 60°,其合向量之大小為多少?(A) 2 (B)(C)(D) 1
#3830533
24.在空間中有兩個位置座標點,其座標分別為(1, 0, -3)與(-2, 2, 3),則此兩點間之距離為多少?(A)(B) 1.0 (C)(D) 7.0
#3830535
25.空間中有兩個互相垂直的向量 ,則: (A)(B)(C) (D)
#3830536
26.有一質點位於三維空間中之 O 點,受力及反力作用維持靜平衡,則在一般情況下,下列何者為無法用於求解反力之平衡方程式?(A)ΣFx=0(B)ΣFy=0(C)ΣFz= 0(D)ΣMo=0
#3830537
27.有一力量,其作用線上一點對 O 點之位置向量為 ,則此力對通過 O 點在單位向量方向上的軸線力矩大小為何? (A)(B) (C) (D)
#3830538
相關試卷
114年 - 114 專技高考_機械工程技師:工程力學(包括靜力學、動力學與材料力學)#133710
2025 年 · #133710
114年 - 114 公務升官等考試_薦任_機械工程:工程力學(包括靜力學、動力學與材料力學)#133242
2025 年 · #133242
114年 - 114 專技高考_專利師(選試專業英文及工程力學)、專利師(選試專業日文及工程力學):工程力學#130105
2025 年 · #130105
114年 - 114 關務特種考試_三等_機械工程(選試英文):工程力學(包括靜力學、動力學與材料力學)#126623
2025 年 · #126623
113年 - 113 臺灣菸酒股份有限公司_從業評價職位人員試題_鍋爐:工程力學#132351
2024 年 · #132351
113年 - 113 專技高考_機械工程技師:工程力學(包括靜力學、動力學與材料力學)#123897
2024 年 · #123897
113年 - 113 專技高考_造船工程技師:工程力學(包括靜力學、動力學與材料力學)#123895
2024 年 · #123895
113年 - 113 專技高考_專利師(選試專業英文及工程力學)、專利師(選試專業日文及工程力學):工程力學#122211
2024 年 · #122211
113年 - 113 關務特種考試_三等_機械工程(選試英文):工程力學(包括靜力學、動力學與材料力學)#119496
2024 年 · #119496
113年 - 113 臺灣港務股份有限公司_新進從業人員甄試_師級_機械:工程力學(包括靜力電、動力學與材料力學)#118827
2024 年 · #118827