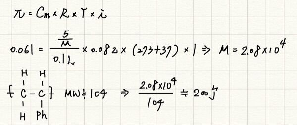
23. 取聚苯乙烯 5 克溶於苯中配成 100 毫升的苯溶液,若 37℃ 時此溶液的滲透壓為 0.061 atm,則此聚合物約含有若干個單體?
(A) 52
(B) 100
(C) 104
(D) 200

答案:登入後查看
統計: A(26), B(7), C(40), D(251), E(0) #3097968

詳解 (共 4 筆)

#5803726


(共 1 字,隱藏中)
前往觀看
21
0
#5972283


(共 1 字,隱藏中)
前往觀看
13
0
#7327253


69c925b2ded1a.jpg

2
0
#7299244
這是一題應用滲透壓(Osmotic Pr...

(共 1181 字,隱藏中)
前往觀看
2
1

私人筆記 (共 3 筆)

私人筆記#6117504
未解鎖


(共 0 字,隱藏中)
前往觀看
10
0
私人筆記#6864524
未解鎖


(共 0 字,隱藏中)
前往觀看
8
1
私人筆記#7954905
未解鎖
滲透壓 (Osmotic Pressur...

(共 49 字,隱藏中)
前往觀看
1
0