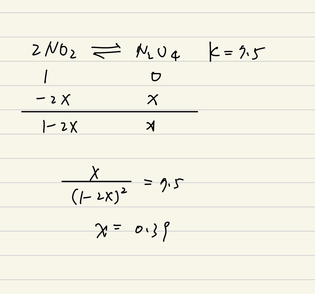
26. 室溫下反應 2NO25eb3c7ea6e104.jpg N2O4 的平衡常數 K = 7.5 L/mol。將 2 莫耳的 NO2 置於 2 升的容 器中,反應達到平衡時 N2O4 的濃度是多少?
(A) 0.39 L/mol
(B) 0.48 L/mol
(C) 0.65 L/mol
(D) 1.5 L/mol

答案:登入後查看
統計: A(105), B(55), C(48), D(18), E(0) #2288310

詳解 (共 3 筆)

#5263103
將 2 莫耳的 NO2 置於 2 升的容...
(共 93 字,隱藏中)
前往觀看
18
6
#5782123
8
1
#6106272

選項的單位寫反了 ,mol/L才對

0
1

私人筆記 (共 3 筆)

私人筆記#5029894
未解鎖


(共 0 字,隱藏中)
前往觀看
11
1
私人筆記#2152062
未解鎖


(共 0 字,隱藏中)
前往觀看
10
3
私人筆記#3833995
未解鎖


(共 0 字,隱藏中)
前往觀看
10
1