試卷名稱:114年 - 114 國立清華大學學士後醫學系單獨招生考試_學士後醫學系/智慧資訊科技組:資訊科學#135660
年份:114年
科目:學士後西醫◆資訊科學
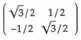
27. Let L(x) = Ax represent a linear transformation from R² to R², where:
A =
What kind of geometry operation is L?
(A) L is the linear operator that rotates each x in R² by 45° in the clockwise direction
(B) L is the linear operator that reflects each vector x in R² about the x1 axis and then rotates it 90° in the counterclockwise direction
(C) L doubles the length of x and then rotates it 30° in the counterclockwise direction
(D) L reflects each vector x about the line x2 = x1 and then projects it onto the x1-axis
(E) L rotates x 270° in the counterclockwise direction