阿摩線上測驗
登入
首頁
>
專技◆航海◆貨物作業(概要)
>
105年 - 105 年 - 10503 交通部一等船副 貨物作業#57355
> 試題詳解
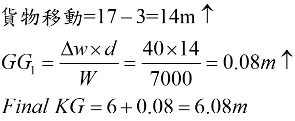
29. 某船排水量7,000噸,KG=6公尺,在下大艙有一物重40噸,其KG=3公尺,當用吊桿吊離 艙底板1.5公尺,吊桿頂距龍骨17公尺,求新KG是多少公尺?
(A) 6.08
(B) 6.28
(C) 6.48
(D) 6.68
答案:
登入後查看
統計:
A(234), B(79), C(41), D(16), E(0) #1450604
詳解 (共 2 筆)
李浩平
B1 · 2017/10/21
#2457220
G’G =(40*(17-3))/700...
(共 34 字,隱藏中)
前往觀看
15
0
馬英精
B2 · 2026/02/17
#7300673
0
0
相關試題
1. 當貨艙裝有貨物,一般燻艙的時間是多少小時? (A)2 (B) 4 (C) 6 (D) 8
#1450576
2. 裝運散裝固體貨物時,下列何者不是船舶所可能面臨的問題? (A) 貨物的分佈不當 (B) 航行期間穩性喪失或減少 (C) 貨物的化學反應造成的船舶結構破損 (D) 吃水差減少
#1450577
3. 某散裝貨船船長290m,裝完貨後艏水尺10.20m、船中水尺10.40m、艉水尺11.00m,請問船 處於何種狀態? (A) Hogging、且Trim by Head (B) Hogging且Trim by Stern (C) Sagging 且Trim by Head (D) Sagging且Trim by Stern
#1450578
4. 下列兩圖顯示之船舶變形受力狀態何者說明正確? (A) 上圖是指中垂,船中部上層甲板承受拉力 (B) 上圖是指中拱,船中部上層甲板承受拉力 (C) 下圖是指中垂,船中部上層甲板承受拉力 (D) 下圖是指中拱,船中部上層甲板承受拉力
#1450579
5. 穀物裝載過程中,裝貨處理要領何者有誤? (A) 貨艙配量裝載過程應注意艙內各點勻稱充填 (B) 防止過度單點堆積造成內部空隙 (C) 平艙填充艙間內部各處均衡裝載 (D) 未滿艙裝載應提高貨物重心堆積
#1450580
6. 下列何者不是墊艙的目的? (A) 防止浸水、漏水、出汗所造成的污損 (B) 防止船體與貨物金屬部分摩擦所造成的損害 (C) 能增加船舶穩定度 (D) 使貨物與貨物間產生間隙便利通風換氣
#1450581
7. 當載運易流態化精礦或其他貨物時,船長或其代理人應向托運人要求提供一份署名的何種 證書? (A) TML證書 (B) ILL證書 (C) ISSC證書 (D) SMC證書
#1450582
8. 靜止角小於35度的貨物應特別注意下列幾個因素?1.應平艙、2.設防移板、3.含水量測試 、4.含氧量測試 (A) 1,2,3 (B) 2,3,4 (C) 1,2,4 (D) 1,3,4
#1450583
9. 托運人所托運之散裝貨物,沒列在IMSBC Code附錄1中,但可能有IMSBC Code之A或B組貨 物所界定的危害時,則由哪三個機關,依託運人提供之貨物的特徵和特性資料為該貨物的運輸規定 訂定臨時性的合適條件?1.裝貨港主管當局、2.船籍國主管當局、3.船東代表、4.卸貨港主管當局 (A) 1,2,3 (B) 1,2,4 (C) 2,3,4 (D) 1,3,4
#1450584
10. 靜止角大於35˚的非黏性散裝貨物,其貨物表面的不平整程度即貨物表面最高點與最低點 間的垂直距離(h)不得超過下列何者? (A) B/10,其中 B為船寬(m),但h的最大允許值為1.5 m (B) B/10,其中 B為船寬(m),但h的最大允許值為2.0 m (C) B/10,其中 B為船浮心(m),但h的最大允許值為1.5 m (D) B/10,其中 B為船浮心(m),但h的最大允許值為2.0 m
#1450585
相關試卷
114年 - 114-4 航海人員測驗_一等船副:貨物作業#135812
2025 年 · #135812
114年 - 114-3 航海人員測驗_一等船副:貨物作業#130652
2025 年 · #130652
114年 - 114-2 航海人員測驗_一等船副:貨物作業#127557
2025 年 · #127557
114年 - 114-1 航海人員測驗_一等船副:貨物作業#125834
2025 年 · #125834
113年 - 113-1 航海人員測驗_二等船副:貨物作業概要#126051
2024 年 · #126051
113年 - 113-4 航海人員測驗_一等船副:貨物作業#124032
2024 年 · #124032
113年 - 113-3 航海人員測驗_一等船副:貨物作業#122453
2024 年 · #122453
113年 - 113-2 航海人員測驗_一等船副:貨物作業#120145
2024 年 · #120145
113年 - 113-1 航海人員測驗_一等船副:貨物作業#118955
2024 年 · #118955
112年 - 112-1 航海人員測驗_二等船副:貨物作業概要#123315
2023 年 · #123315