阿摩線上測驗
登入
首頁
>
專科學力鑑定◆專(一、二):化學+物理
>
112年 - 112 教育部自學進修專科學校學力鑑定_核能工程、工業衛生安全、消防工程、工業安全衛生:化學+物理#119198
> 試題詳解
試題詳解
試卷:
112年 - 112 教育部自學進修專科學校學力鑑定_核能工程、工業衛生安全、消防工程、工業安全衛生:化學+物理#119198 |
科目:
專科學力鑑定◆專(一、二):化學+物理
試卷資訊
試卷名稱:
112年 - 112 教育部自學進修專科學校學力鑑定_核能工程、工業衛生安全、消防工程、工業安全衛生:化學+物理#119198
年份:
112年
科目:
專科學力鑑定◆專(一、二):化學+物理
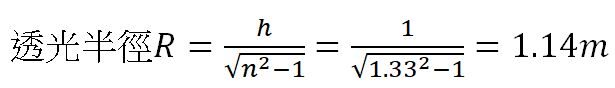
30. 水面下1公尺處有一點光源,則此光源能照亮的水面範圍半徑有多少公尺?(水的折射率為 1.33 )
(A) 1.14
(B) 1.21
(C) 1.28
(D) 1.33
正確答案:
登入後查看