阿摩線上測驗
登入
首頁
>
工程力學(含靜力學、動力學與材料力學)
>
105年 - 105 臺灣菸酒股份有限公司_從業職員及從業評價職位人員甄試_從業評價職位人員/機械A、B:工程力學#60284
> 試題詳解
試題詳解
試卷:
105年 - 105 臺灣菸酒股份有限公司_從業職員及從業評價職位人員甄試_從業評價職位人員/機械A、B:工程力學#60284 |
科目:
工程力學(含靜力學、動力學與材料力學)
試卷資訊
試卷名稱:
105年 - 105 臺灣菸酒股份有限公司_從業職員及從業評價職位人員甄試_從業評價職位人員/機械A、B:工程力學#60284
年份:
105年
科目:
工程力學(含靜力學、動力學與材料力學)
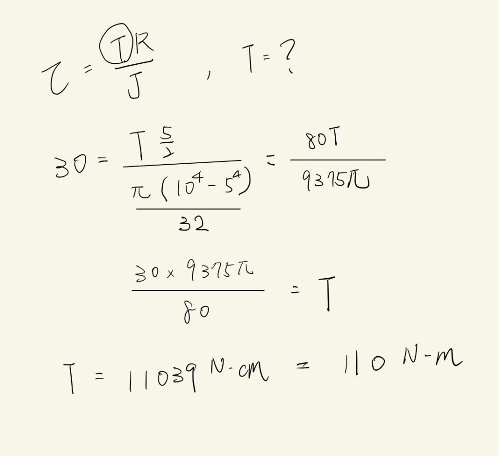
35.有一根空心鋼軸,外徑為 10 cm,內徑為 5 cm,假設該內徑承受之剪應力為 30 kg/cm
2
,請算該軸可承受的 扭力扭矩應為多少?
(A) 50 kg-m
(B) 55 kg-m
(C) 75 kg-m
(D) 110 kg-m
正確答案:
登入後查看
詳解 (共 1 筆)
大白
B3 · 2024/09/23
推薦的詳解#6215127
未解鎖
先求最大剪應力=外徑剪應力 10cm:5...
(共 141 字,隱藏中)
前往觀看
6
0
私人筆記 (共 2 筆)
109正取台船工程師
2020/03/10
私人筆記#1991317
未解鎖
...
(共 33 字,隱藏中)
前往觀看
7
0
突破盲點!
2024/09/25
私人筆記#6398650
未解鎖
(共 0 字,隱藏中)
前往觀看
3
0