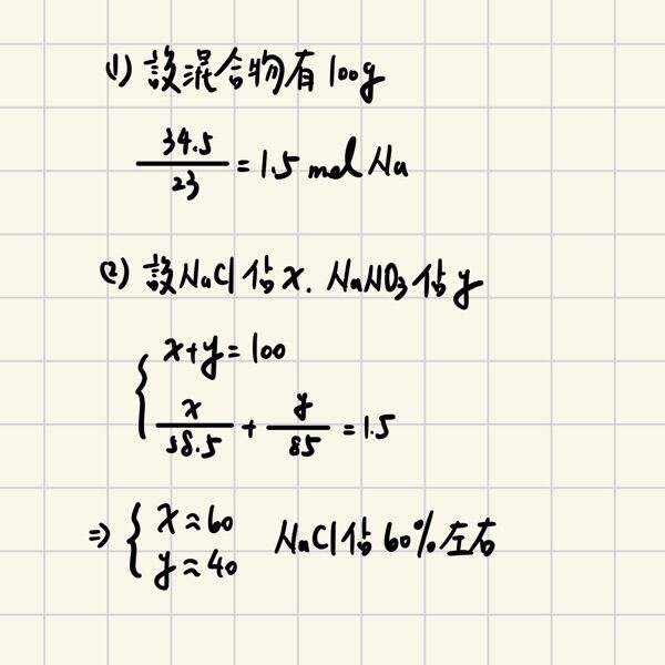
38. NaCl 和 NaNO3的混合物中鈉的含量為 34.5%,計算 NaCl 在此混合物中的重量百分比(%)。
(A) 30.4%
(B) 40.5%
(C) 50.6%
(D) 60.7%
答案:登入後查看
統計: A(29), B(35), C(43), D(221), E(0) #2745725
統計: A(29), B(35), C(43), D(221), E(0) #2745725
詳解 (共 4 筆)
#6320253

8
0