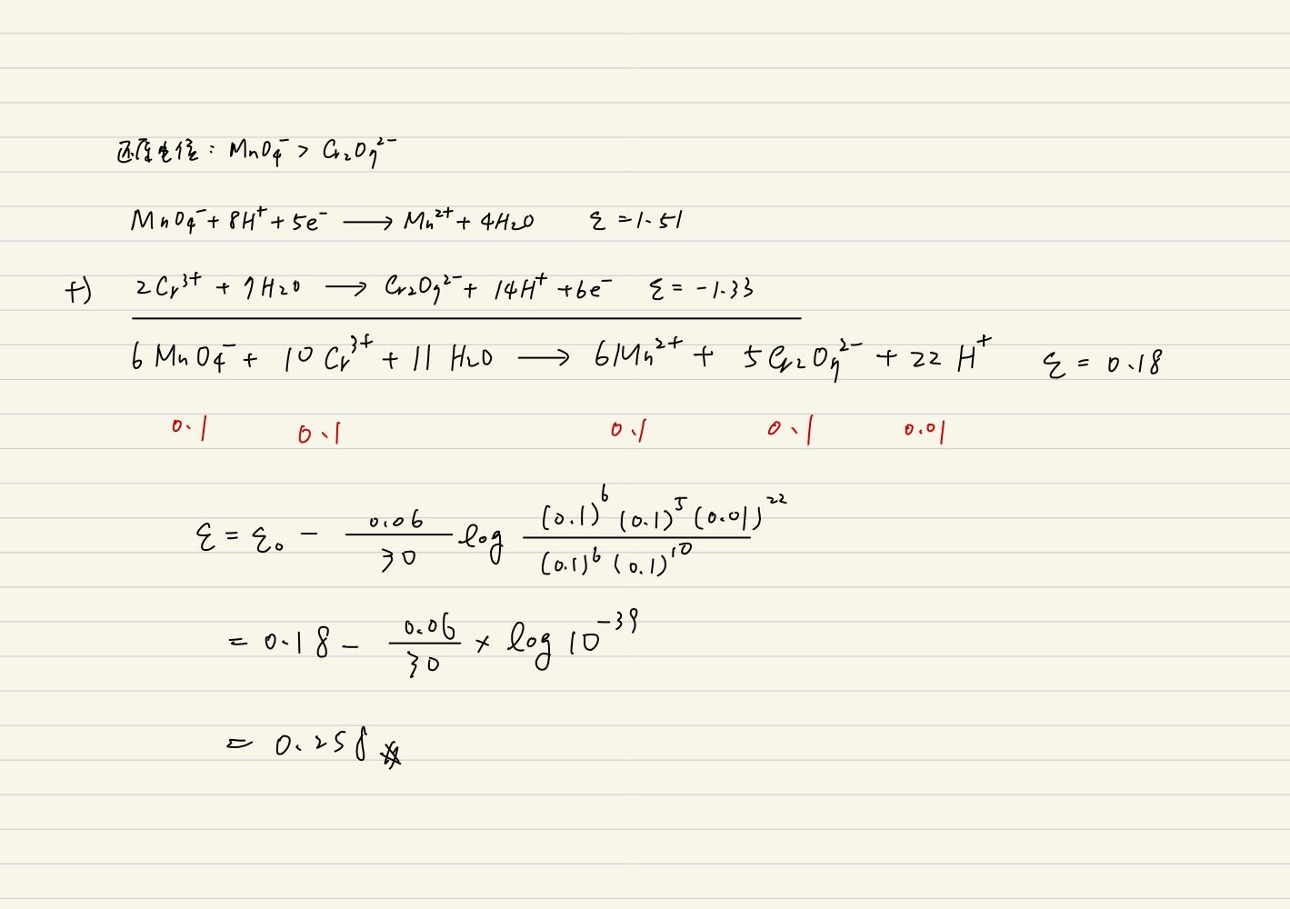
41. 賈凡尼電池(galvanic cell)的示意圖如下,半電池溶液所含的物種及濃度分別標示於下方。 5eb8a938e1b06.jpg下列為 MnO4及 Cr2O72–的標準還原電位: MnO4 + 8H+ + 5e →Mn2+ + 4H2O ℰ° = 1.51 V Cr2O72– + 14H+ + 6e→ 2Cr3+ + 7H2O ℰ° = 1.33 V 25°C 下此電池的電位是多少伏特?
(A) 0.18 V
(B) 0.26 V
(C) 0.59 V
(D) 2.89 V

答案:登入後查看
統計: A(118), B(109), C(17), D(11), E(0) #2288325

詳解 (共 2 筆)

#5782158
14
1
#5253597
#更正:Q那行 Cr2O72- 括號上方...

(共 38 字,隱藏中)
前往觀看
2
3

私人筆記 (共 4 筆)

私人筆記#2141887
未解鎖
總反應:6MnO4- + 10Cr3+ ...

(共 170 字,隱藏中)
前往觀看
15
1
私人筆記#3835007
未解鎖


(共 0 字,隱藏中)
前往觀看
10
3
私人筆記#4018331
未解鎖


(共 0 字,隱藏中)
前往觀看
6
2
私人筆記#4698850
未解鎖
章節:氧化還原

(共 7 字,隱藏中)
前往觀看
1
2