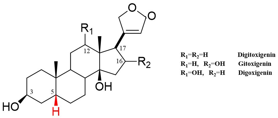
46.下圖是digitoxigenin的基本結構,那一個取代基是OH基?
(A)R1
(B)R2
(C)R3
(D)R4 
統計: A(493), B(1349), C(1841), D(4183), E(0) #1837785
詳解 (共 10 筆)
- 你終究要記的毛地黃
-
統整前人資料

—
- 生藥小統整
A-Digitoxigenin:3, 14-OH(欸,數位的喔)
B-Gitoxigenin:3, 14, 16-OH(逼居頭,很6)
C-Digoxigenin:3, 12, 14-OH(死豬哥,十惡不赦)
Ouabagenin:1, 3, 5, 11, 14, 19-OH (OH最多的強心配糖體)
Strophanthidin:3, 5, 14-OH 10-CHO
-
52.毛地黃和長葉毛地黃的比較,何者錯誤?
(A)兩者皆具有強心苷成分
(B)共有的苷元(aglycone)為digitoxigenin
(C)前者為藥用digoxin的來源
(D)後者又稱作grecian foxglove
專技 - 藥物分析與生藥學(包括中藥學)- 107 年 - 107-2 專技 藥物分析與生藥學(含中藥學)#70390
答案:C
B)Digito→A基,兩者都有
D)前者為fox(洋),purpurea
後者為grecian(狹),lanata(長)
68.下列何者是digoxin的結構?
(A)glucose-3-acetyldigitoxose-digitoxose-digitoxose-digoxigenin
(B)3-acetyldigitoxose-digitoxose-digitoxose-digoxigenin
(C)digitoxose-digitoxose-digitoxose-digoxigenin
(D)glucose-digitoxose-digitoxose-digoxigenin
專技 - 藥理學與藥物化學- 107 年 - 第一次專技高考/藥理學與藥物化學#67577
答案:C
digoxin屬於digoxigenin
只有lanata才有,為藥用來源
但它本身只有3 digitoxose
51.下列強心苷,何者不含葡萄糖基?
(A)digitoxin
(B)purpurea glycoside A
(C)lanatoside A
(D)scillaren A
專技 - 藥物分析與生藥學(包括中藥學)- 106 年 - 106年第一次專技高考-藥物分析與生藥學(包括中藥學)#60025
答案:A
A)沒有大寫字母
6.Lanatoside A經過鹼、葡萄糖水解酶處理後得到的是:
(A)digitoxin
(B)digitoxigenin
(C)digoxin
(D)digoxigenin
專技 - 藥物分析與生藥學(包括中藥學)- 105 年 - 105年第二次專技高考_藥師:藥物分析與生藥學(包括中藥學)#54637
答案:A
A→Digito
有酶→-xin (沒心)
有加酸→-genin (只好算計你)
6.下列何種生藥之主成分為digoxin?
(A)Digitalis purpurea
(B)Digitalis lanata
(C)Digitalis thapsi
(D)Digitalis ferruginea
生藥學- 105 年 - 105-1-藥師(一)-藥物分析與生藥學(包括中藥學)#41270
答案:B
50.下列強心苷的苷元,何者所含羥基(-OH)最多?
(A)Digitoxigenin
(B)Digoxigenin
(C)Strophanthidin
(D)Ouabagenin
專技 - 藥物分析與生藥學(包括中藥學)- 104 年 - 104-1-藥師(一)-藥物分析與生藥學(包括中藥學)#19186
答案:D
51.強心配醣體之醣基(glycone)及內酯環(lactone)接於固醇之位置及位向為何?
(A)3β, 17β
(B)3β, 17α
(C)3α, 16β
(D)3α, 16α
專技 - 藥物分析與生藥學(包括中藥學)- 102 年 - 102-1-藥師-藥物分析與生藥學(包括中藥學)#9915
答案:A
9α ,其餘皆β
7.下列何者為強心配醣體中常見的2,6-dideoxy-sugar?
(A)D-Fucose
(B)L-Rhamnose
(C)D-Digitoxose
(D)D-Glucose
生藥學- 101 年 - 101-2-藥師-藥物分析與生藥學(包括中藥學)#9920
答案:C

8 下列有關強心配醣體(cardiac glycosides)基本骨架之敘述,何者錯誤?
(A) C-3 位上 OH 為 β-型式
(B) Lactone ring 取代在 C-17 上
(C) C-14 位上之 OH 為 α-型式
(D) A/B/C/D 四個環連接方式為 cis-trans-cis .
專技 - 藥物分析與生藥學(包括中藥學)- 99 年 - 099-1-藥師-藥物分析與生藥學(包括中藥學)#9943
答案:C
C-3 上 醣基、C-14 上 OH、C-17 Lactone ring 都是 β 型式
9 下列有關強心 Digoxin 之敘述,何者錯誤?
(A)其非糖部分Digoxigenin 具A/B 及C/D cis,而B/C trans 之立體結構
(B)具有C-17β之α,β-unsaturated lactone
(C)C-3 接有三個Digitoxose 及一個Glucose
(D)在Digoxigenin 上具有兩個free OH 基
專技 - 藥理學與藥物化學- 93 年 - 093-檢覆1-藥師-生藥學及藥理學#11845
答案:C
C-3 沒有glucose

強心配糖體練習題
68.下列何者是digoxin的結構?
(A)glucose-3-acetyldigitoxose-digitoxose-digitoxose-digoxigenin
(B)3-acetyldigitoxose-digitoxose-digitoxose-digoxigenin
(C)digitoxose-digitoxose-digitoxose-digoxigenin
(D)glucose-digitoxose-digitoxose-digoxigenin
強心配醣體口訣 生藥也適用
Lanatoside A-Digitixigenin
A片是Digital
Lanatoside C-Digoxigenin/ 多一個12β-OH/ 極性較大
死(C)豬哥(Digoxin)愛12歲(12β-OH)水妹妹(極性大)
來自阿摩強者
C3-beta-sugar
C14-beta-OH
C-17-beta-aglycon
架構有19C
C17配上
Cardenolide=19+4=23(毛地黃)
Bufadienolide=19+5=24(蟾酥、海蔥、黑藜蘆)

Di -> 去掉C16的OH
Gi -> 去掉C12的OH
C3、14 OH 是必要 (13F有考古)
Digitoxigenin 3、14OH (12、16都去掉)
Gitoxingenin 3、14、16 (有Gi 12去掉)
Digoxigenin 3、14、12 (有Di 16去掉)
結構為順反順 小心題目用AB BC CD搞你 看錯選錯會哭死
另外只要問你立體結構就選Beta 看到alpha直接錯
如果再考更細是再哭是吧! 送他
這樣比較好記 但是要會數碳數 用8字形去數(都已經分辨得出來了還要逼人記位置真的很機掰)
最後補充
毛地黃Digitalis purpurea (有Digitoxigenin,沒有Digoxigenin)
長葉毛地黃Digitalis lanata 才有Digoxigenin 醫療用途比較大(Digoxin來源)
跟我一樣放棄藥化的人
強心結構不難可以記一下
當作是生藥的分數
藥化考出來算賺到XD