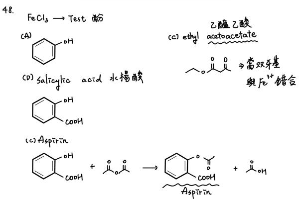
48. 下列何者不能與 FeCl3 溶液進行顯色反應?
(A) Phenol
(B) Aspirin
(C) Ethyl acetoacetate
(D) Salicylic acid
答案:登入後查看
統計: A(55), B(322), C(120), D(24), E(0) #2751853
統計: A(55), B(322), C(120), D(24), E(0) #2751853
詳解 (共 5 筆)
#7319181

3
0